Class 10 English Christmas Exam Question Paper 2026 is published after the exam. You can download the Kerala Std 10 Second Term English Question Paper PDF from Aglasem. The latest and previous year question paper of Christmas Exam for class 10 English helps you prepare for the upcoming Second Term English test. After studying with this Kerala Syllabus SSLC English Question Paper, you can download Christmas Exam Question Paper for Class 10 for other subjects as well.
Class 10 English Christmas Exam Question Paper 2026
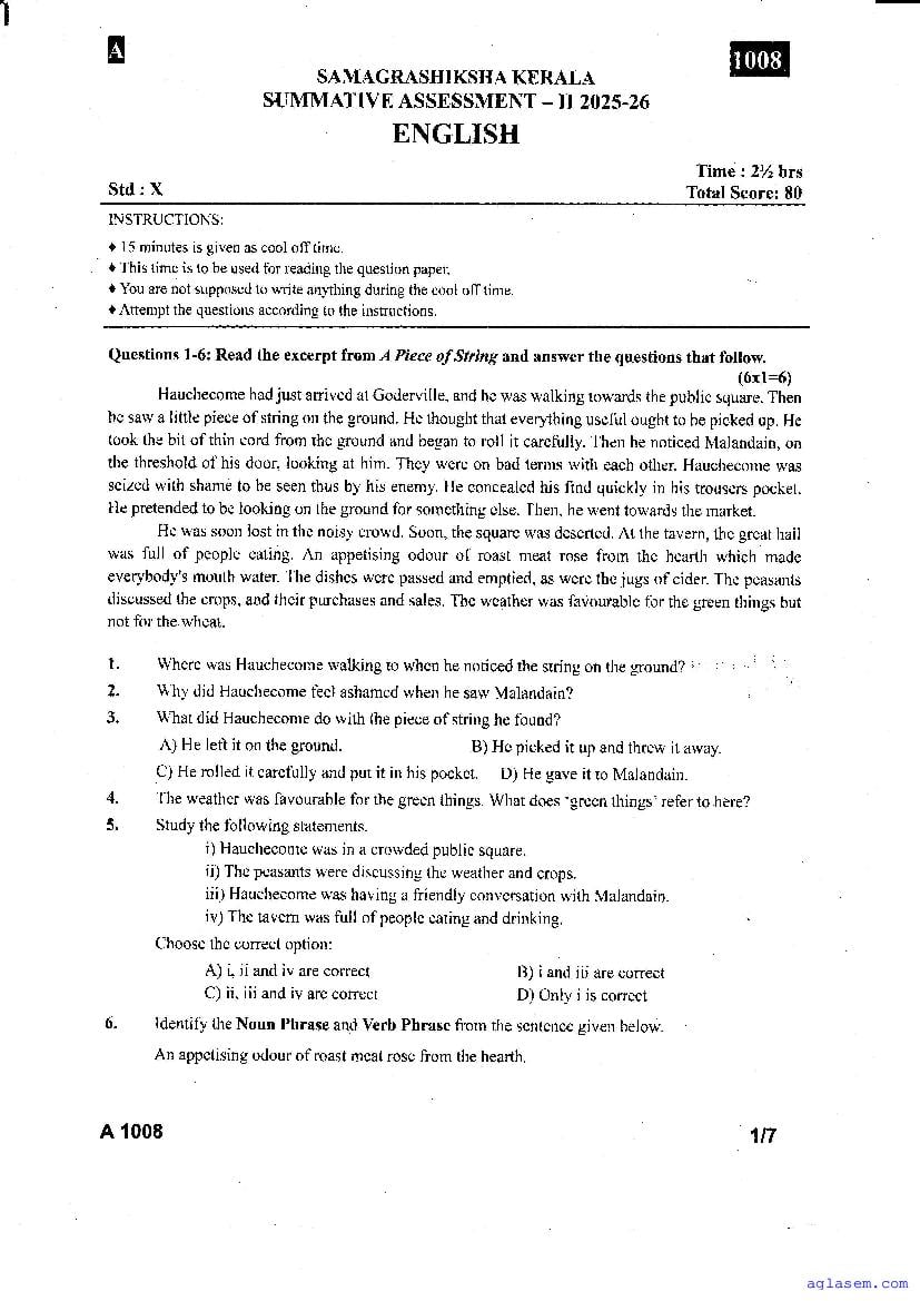
This is the Christmas Exam Question Paper for SSLC English. Kerala Syllabus 10th Standard Question Paper for 2nd Term Christmas Exam for English subject is as follows.
Class 10 English Christmas Exam 2025-26 Question Paper – Click Here to Download Question Paper PDF
Class 10 English Christmas Exam 2023-24 Question Paper – Click Here to Download Question Paper PDF
More Class 10 Christmas Exam Question Papers – Click Here to Download Question Paper PDF
Class 10 English Christmas Exam Question Paper 2026 PDF
The complete question paper is as follows.
The latest available previous year Question Paper is given below.
Kerala Class 10 Second Term Question Paper 2025 English View Download






Kerala Std 10 Second Term English Question Paper with Answer Keys
- Shortly after your exam, you may seek the Class 10 English Christmas Exam Question Paper 2026 with Answer Key.
- The Kerala SSLC 2nd Term English Answer Key includes solutions to all test questions.
- Numerous educators teaching 10th standard in the Kerala Board share Kerala Syllabus 10th Standard Question Papers and Answers for English.
- As a result, you can acquire the Christmas Exam Question Paper 2026 with Answer Key for Class 10 English directly from teachers or their social media platforms.
Kerala Class 10 Second Term Christmas Exam Question Papers
If you are in class 10, then you must be appearing in SSLC Christmas Examination for many subjects in addition to English. So here are the Christmas Exam Question Paper of Class 10 for all subjects.
- Arabic
- Biology
- Chemistry
- English
- Hindi
- Malayalam I
- Malayalam II
- Maths
- Physics
- Sanskrit
- Social Science
- Urdu
Kerala Second Term Christmas Exam Question Papers
The Kerala Board schools hold Christmas (Second Term) exams for all classes. Here are class wise question papers of the same.
- Class 1 Christmas Exam Question Papers
- Class 2 Christmas Exam Question Papers
- Class 3 Christmas Exam Question Papers
- Class 4 Christmas Exam Question Papers
- Class 5 Christmas Exam Question Papers
- Class 6 Christmas Exam Question Papers
- Class 7 Christmas Exam Question Papers
- Class 8 Christmas Exam Question Papers
- Class 9 Christmas Exam Question Papers
- Class 10 Christmas Exam Question Papers
- Class 11 Christmas Exam Question Papers
- Class 12 Christmas Exam Question Papers
Kerala Board Question Papers
Similarly, here are all previous year question papers of the Kerala Board exams.
Class 10 English Christmas Exam Question Paper – An Overview
Key highlights of this preparation guide material are as follows.
| Aspects | Details |
|---|---|
| State | Kerala |
| Class | Class 10 / Std 10 / SSLC |
| Subject | English |
| Examination | 2nd Terminal Exam or Christmas Exam |
| Paper Here | Kerala Class 10 Second Terminal Exam English Question Paper |
| All Previous Year Question Papers of This Class | Kerala Class 10 Second Term Christmas Exam Question Paper |
| All Previous Year Question Papers of This Exam | Christmas Exam Question Paper |
| PYQP of This State | Kerala Board Previous Year Question Papers |
| More Study Material of This Board | Kerala Board |
If you have any queries on Class 10 English Christmas Exam Question Paper 2026, then please ask in comments below.
To get study material, exam alerts and news, join our Whatsapp Channel.

