Goa Board Class 10 Question Paper for French is available here. You can now download the Goa SSC French Question Paper PDF to prepare for your exam. This Goa Board Class 10 Question Paper contains actual questions asked in past year French exam. Therefore by solving them you are more prepared for the SSC exam of French and can aim to get full marks in it.
Goa Board Class 10 Question Paper for French
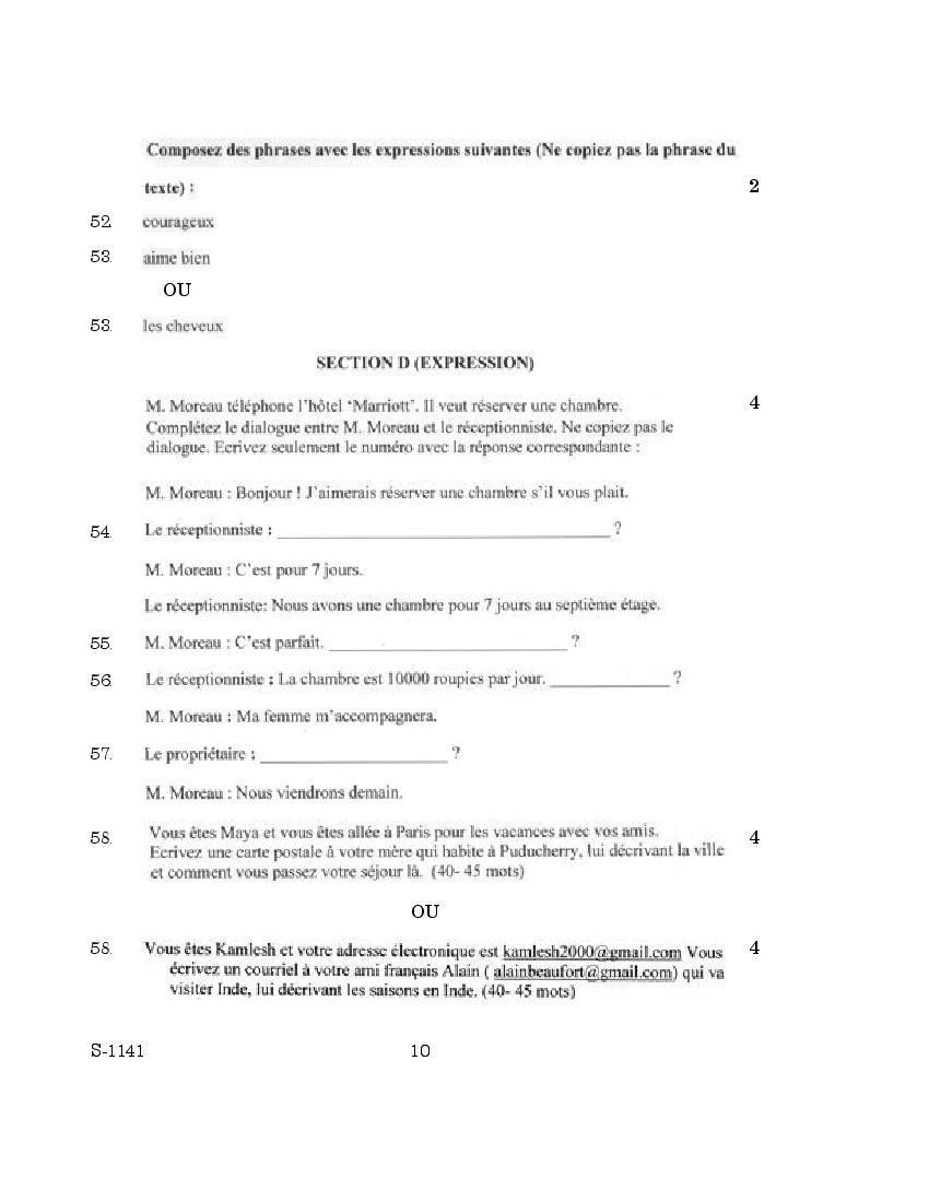
The previous year question paper of Goa board for class 10 (SSC) French is as follows.
Goa Board Class 10 Question Paper 2026 for French PDF Download – Link to Download PDF will be updated here
Goa Board Class 10 Question Paper 2025 for French PDF Download – Download PDF
Goa Board Class 10 Question Paper 2024 for French PDF Download – Download PDF
Goa Board Class 10 Question Paper 2019 for French PDF Download – Download PDF
More Goa Board Class 10 Question Paper for French PDF Download – Visit Here
Goa Board Class 10 Question Paper for French PDF
The complete question paper is as follows.
The PDF of the latest available paper is as follows. However download links of all available papers are given above.
Goa Board Class 10 Question Paper 2025 French TL View Download










Goa Board SSC Previous Year Question Papers
To ace the 10th class exams, you need excel in all subjects in addition to French. So here are subject wise papers for all SSC subjects.
- Agriculture
- Apparel
- Arabic SL
- Arabic TL
- Astronomy
- Automobile
- Bakery
- Banking, Financial Service and Insurance
- Basic Cookery
- Basic Floriculture
- Beauty and Wellness
- Construction
- Cookery
- Electronics
- English FL
- English TL
- Everyday Mathematics
- Fine Art
- Food Processing
- French
- Geography and Economics
- Health Care
- Hindi SL
- History and Political Science
- Horticulture
- IT ITES
- Kannada TL
- Konkani
- Logistics
- Marathi FL
- Marathi TL
- Mathematics Level 1
- Mathematics Level 2
- Plumbing
- Portuguese TL
- Retail
- Sanskrit SL
- Sanskrit TL
- Science
- Science with Accomodation
- Social Science
- Telecommunication
- Urdu FL
- Urdu TL
Goa Board Previous Year Question Papers
All class wise past year board exam papers of Goa board are as follows.
Goa Board Class 10 Question Paper for French – An Overview
The key things to note about this paper are as follows.
| Aspects | Details |
|---|---|
| State | Goa |
| Class | Class 10 (SSC) |
| Subject | French |
| Study Material Here | Goa Board SSC French Question Paper |
| All Question Papers of This Class | Goa Board Class 10 Question Papers |
| All Question Papers of This Board | Goa Board Question Papers |
| Board of Education | GBSHSE |
| GBSHSE Full Form | Goa Board Of Secondary and Higher Secondary Education |
| More Study Material for This Board | Goa Board |
If you have any queries on Goa Board Class 10 Question Paper for French , then please ask in comments below.
To get study material, exam alerts and news, join our Whatsapp Channel.

