Assam Class 12 Maths Half Yearly Question Paper 2025 includes questions from the half-yearly assessment tests for the HS 2nd Year standard. You can easily download the SEBA HS 2nd Year Half Yearly Maths Question Paper PDF at aglasem.com. The SEBA class 12 half yearly question paper for Maths is essential for preparing for terminal exams. If you are in std HS 2nd Year and have upcoming tests, download the Maths half yearly question paper to enhance your preparation.
Assam Class 12 Maths Half Yearly Question Paper 2025
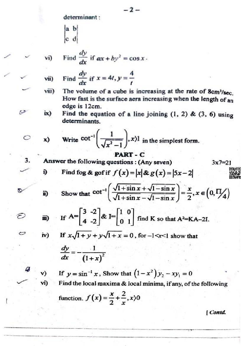
The half yearly question paper for assam board class 12 (or HS 2nd Year std) for Maths subject is as follows.
Class 12 Maths Half Yearly Question Paper 2025-26 – Click Here to Download Question Paper PDF
Class 12 Maths Half Yearly Question Paper 2023-24 – Click Here to Download Question Paper PDF
Assam Board Class 12 Maths Half Yearly Question Paper 2025 PDF
We have provided you the direct link to download Maths question paper above. However if you want to read the HS 2nd Year Maths half yearly exam question paper here itself, that is also possible. The complete paper is as follows.
The latest available Question paper is given below.
Assam Class 12 Half Yearly Question Paper 2025 Maths View Download





SEBA Class 12 Half Yearly Question Paper
After you have solved the HS 2nd Year Maths half yearly exam question paper, you may want the test papers for other subjects. So here are the subject-wise papers of half-yearly exams for assam board class 12.
- Accountancy
- Bengali Advanced
- Bengali MIL
- Biology
- Business Studies
- Chemistry
- Economics
- English
- English Alterntative
- Finance
- Login and Philosophy
- Maths
- Physics
- Political Science
Half Yearly Question Paper
Schools organize half yearly assessments for all classes. Here are the class wise test papers.
SEBA HS 2nd Year Half Yearly Maths Question Paper – An Overview
Some important things to note are as follows.
| Aspects | Details |
|---|---|
| Class | Class HS 2nd Year |
| Subject | Maths |
| Exam | Half Yearly Exams |
| Paper Here | Assam HS 2nd Year Half Yearly Question Paper Maths |
| More Question Papers of This Class | SEBA HS 2nd Year Half Yearly Question Paper |
| All Assam Board Exam Papers | Assam Board Question Paper |
| Model Paper | Class 12 Sample Papers |
If you have any queries about Class 12 Maths Half Yearly Question Paper, then please ask in comments below. And if you found this study material helpful, then please share with your friends!
To get study material, exam alerts and news, join our Whatsapp Channel.
