SEBA 9th Class English Question Paper 2025 has been published here. You can download Assam Board Class 9 English Paper PDF from here on aglasem to prepare for your exams. This Assam Class 9th Previous Year Question Paper is for English subject and contains actual questions asked in past year exams. So by going through the English question paper, you can get a good idea of what types of questions to expect from Class 9th English syllabus, difficulty level, and questions distribution. Thus the SEBA English Question Paper helps in improving your exam preparation.
SEBA 9th Class English Question Paper 2025
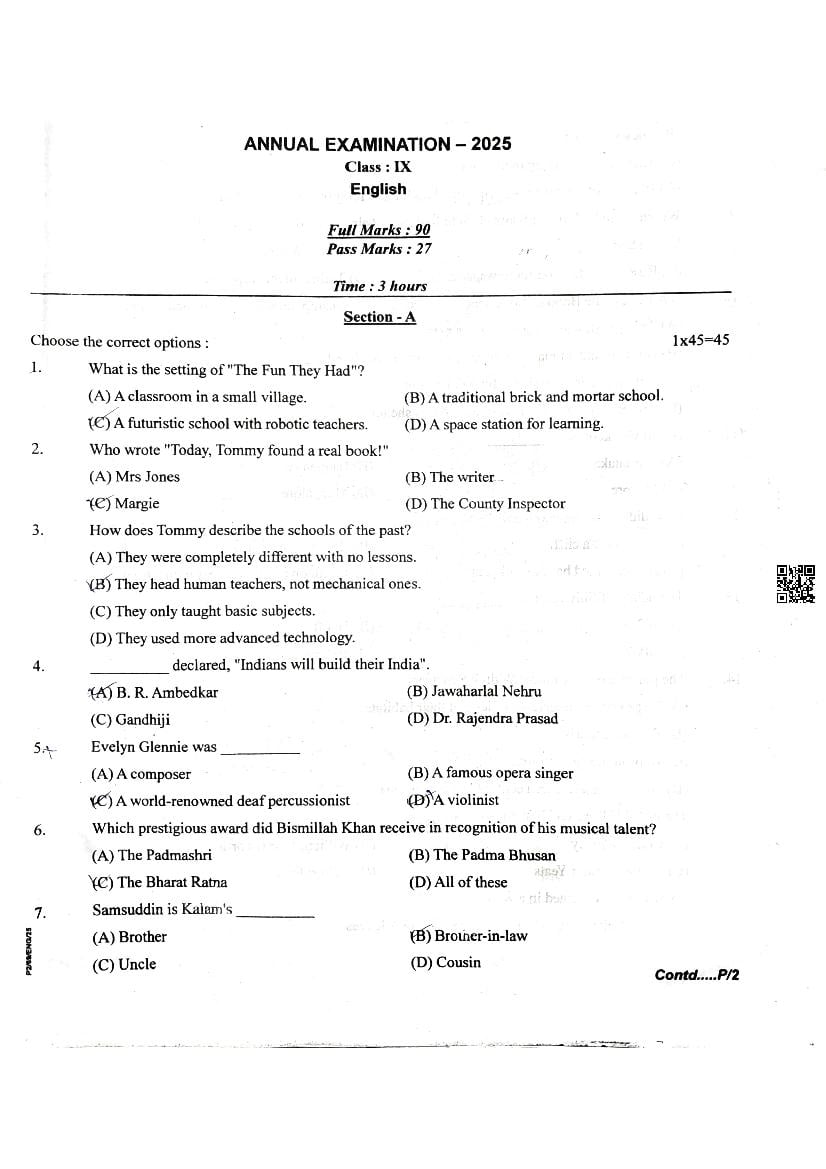
The Assam Board Previous Year Question Paper for Class 9th (Class 9) English is as follows.
SEBA 9th Class English Question Paper 2025 PDF Download Link – Click Here to Download Question Paper PDF
SEBA 9th Class English Question Paper 2024 PDF Download Link – Click Here to Download Question Paper PDF
SEBA 9th Class English Question Paper 2023 PDF Download Link – Click Here to Download Question Paper PDF
SEBA 9th Class English Question Paper 2022 PDF Download Link – Click Here to Download Question Paper PDF
SEBA 9th Class English Question Paper 2025 PDF
The complete question paper is as follows.
Class 9 Question Paper 2025 English View Download









SEBA Previous Year Question Papers
You need to study more subjects in 9th standard besides English. So here are subject wise previous year question papers for Assam Board class 9.
Assam Board Question Papers
Similarly the class wise past year papers of Assam Board are as follows.
SEBA 9th Class English Question Paper – An Overview
The overview of this study material is as follows.
| Aspects | Details |
|---|---|
| State | Assam |
| Class | Class 9 |
| Subject | English |
| Education Board | SEBA |
| Educational Resource Here | Assam Board Previous Year Question Paper of Class 9 English |
| More PYQPs of This Class | Assam Board Previous Year Question Paper of Class 9 |
| All PYQPs of This Board | Assam Board Previous Year Question Papers |
| Full Name of SEBA | Board of Secondary Education Assam |
| More Information of This Board | Assam Board |
| Class 9 Date Sheet | Assam Class 9th Routine |
| Class 9 Result | Assam Class 9th Result |
| Syllabus | Assam Class 9th Syllabus |
| Sample Papers | SEBA Class 9th Sample Question Papers |
If you have any queries on SEBA 9th Class English Question Paper 2025, then please ask in comments below.
To get study material, exam alerts and news, join our Whatsapp Channel.
