Bihar Board 10th Maths Advanced Model Paper 2026 is released by BSEB. So you can now download Bihar Board Class 10 Maths Advanced sample question paper 2026 PDF from this page on aglasem. Whereas the Bihar Board class 10 model paper 2026 for Maths Advanced subject has all questions from the BSEB class 10 latest Maths Advanced syllabus. Moreover this BSEB sample paper tells you the exam pattern, difficulty level of exam, and question type for class 10 Maths Advanced exam. You should therefore download the Bihar Board Maths Advanced Model Paper to score high in Bihar board exams.
Bihar Board 10th Maths Advanced Model Paper 2026
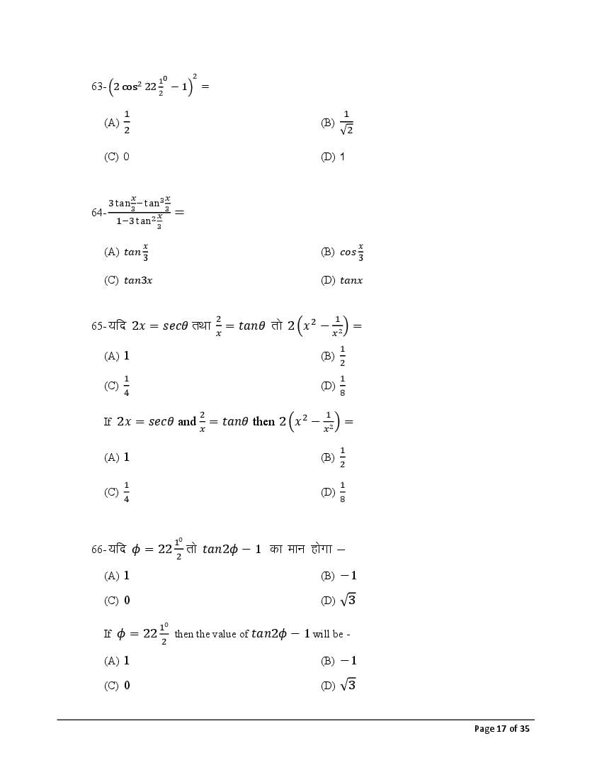
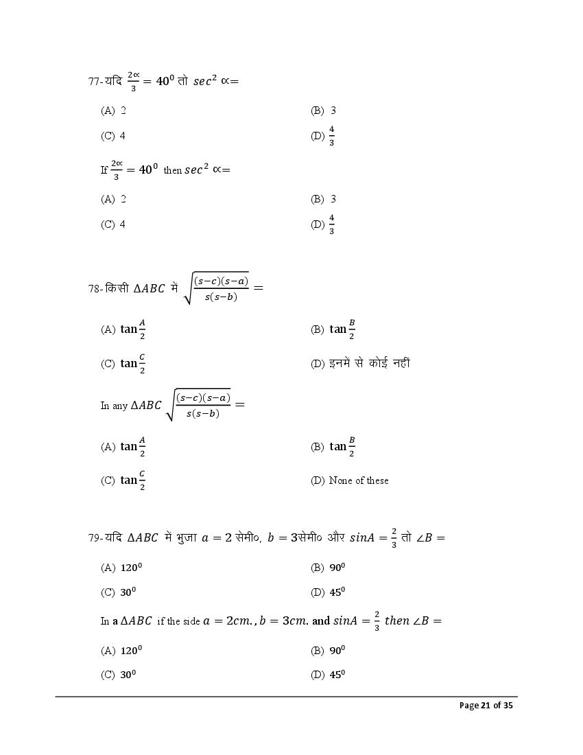
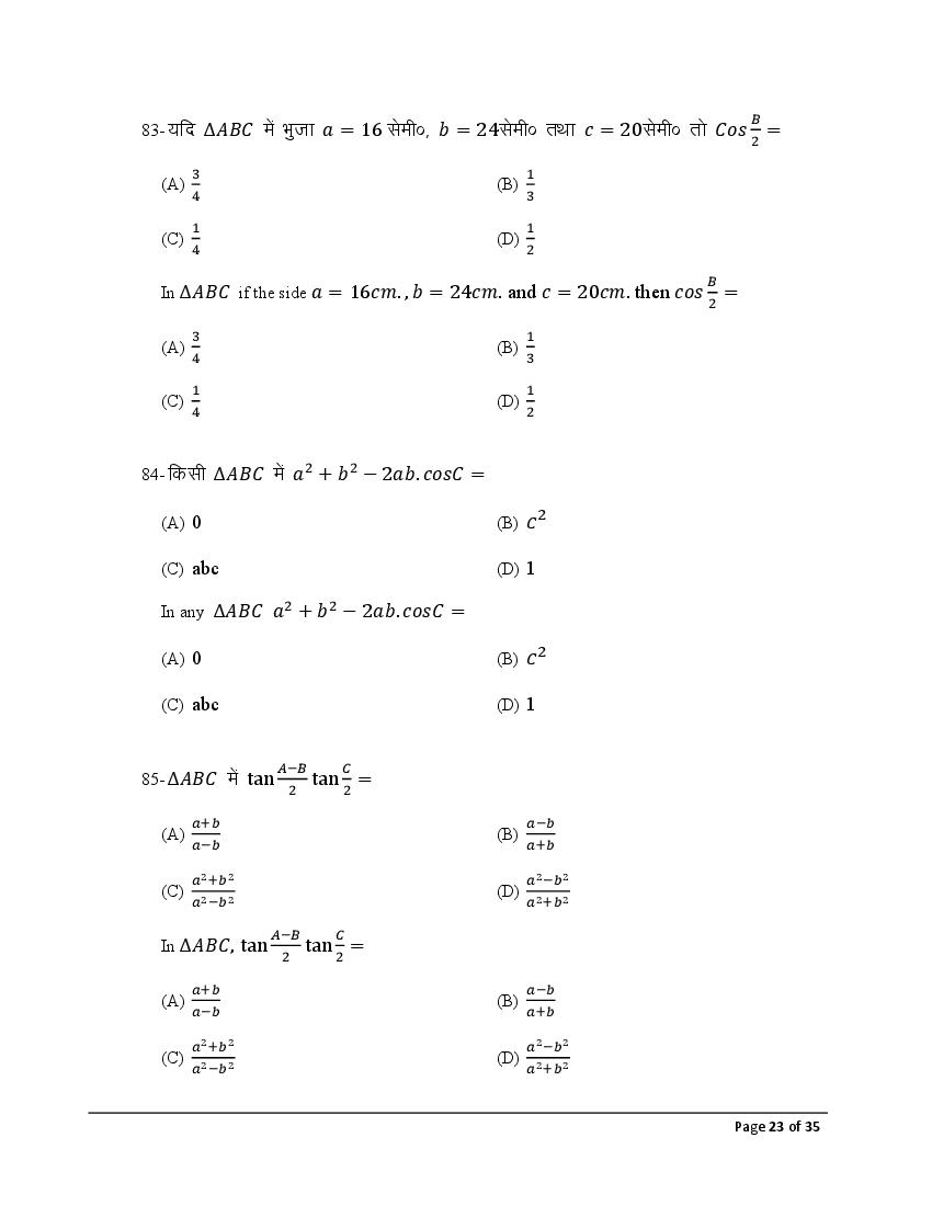
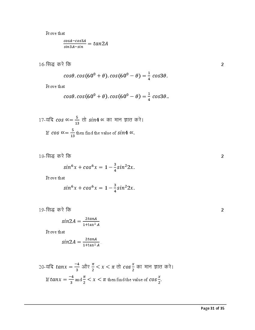
The Bihar Board model paper for class 10 Maths Advanced is as follows.
Bihar Board 10th Maths Advanced Model Paper 2026 Download Link – Click Here to Download PDF
Bihar Board 10th Maths Advanced Model Paper 2025 Download Link – Click Here to Download PDF
You can download more BSEB class 10 model papers here – Bihar Board Class 10 All Study Material.
Bihar Board 10th Maths Advanced Model Paper 2026 PDF
The PDF format latest Bihar model question paper for class 10 Maths Advanced exam can be downloaded at biharboardonline.bihar.gov.in or from below
The latest available sample paper is as follows.
Bihar Board Class 10th Model Paper 2026 Maths Advance View Download


































Bihar Board 10th Maths Advanced Model Paper 2026 – An Overview
Key highlights of the sample question paper are as follows.
| Name of State | Bihar |
| Name of Education Board of Bihar | BSEB |
| Full form of BSEB | Bihar School Examination Board |
| Class | Class 10 / 10th / X / Matric |
| Subject | Maths Advanced |
| Study Material Here for This Subject | Bihar Board Class 10 Model Papers |
| Official Website | biharboardonline.bihar.gov.in |
| All BSEB Question Papers | BSEB Previous Year Question Papers |
| Time Table | Bihar Board 10th Exam Date |
| Results | Bihar Board 10th Result |
BSEB Class 10 Model Paper 2026
BSEB has published model question papers for class 10 exam. If you are a class 10 student of Bihar Board then you may want to download all 10th model papers. Each paper has questions from latest Bihar Board syllabus. So following are all BSEB 10th sample paper links.
- Arabic
- Arabic Second Language
- Bangla
- Bhojpuri
- Commerce
- Dance
- Economics
- English
- Fine Art
- Hindi
- Hindi Second Language
- Home Science
- Maithili
- Maithili Optional
- Maths
- Maths Advanced
- Music
- Persian
- Persian Second Language
- Sanskrit
- Sanskrit Second Language
- Science
- Social Science
- Urdu
Bihar Board Class 10 Model Paper 2026 PDF Download with Answers
While you can easily solve the Maths Advanced sample paper using the BSEB recommended class 10th Maths Advanced textbook and Bihar Board notes. Still you may be looking for Bihar Board Class 10 Maths Advanced Model Paper 2026 PDF with Answers. This is because the BSEB class 10 Maths Advanced sample question paper solution tells step-by-step method to solve the questions of Bihar Board class 10 model paper. Therefore to help Bihar Boards students, a number of Maths Advanced teachers have published Bihar Board Class 10 Maths Advanced Model Paper Solution as PDF and on youtube. If you also want to get BSEB question paper solution for Maths Advanced, then check youtube, or comment below so we can help you out.
Bihar Board Model Papers 2026
If you are studying in a different class in a Bihar Board school, then you may want to download the sample papers for your class. Therefore we have given all BSEB sample paper sets links here.
- Bihar Board 9th Model Paper
- Bihar Board 10th Model Paper
- Bihar Board 11th Model Paper
- Bihar Board 12th Model Paper
If you have any queries on Bihar Board Class 10th Maths Advanced Model Paper 2026, then please ask in comments below.
To get study material, exam alerts and news, join our Whatsapp Channel.

