Bihar Board Class 11 Maths Question Paper 2025 is available here at aglasem for download. The BSEB Class XI Maths Paper PDF contains actual questions asked in past year Maths exam held for 11th class students. So by solving this Bihar Board Class 11 Question Paper, you can enhance your preparation for Maths exam. Therefore this Maths question paper is an important part of class 11 exam preparation for all Bihar Board students!
Bihar Board Class 11 Maths Question Paper 2025
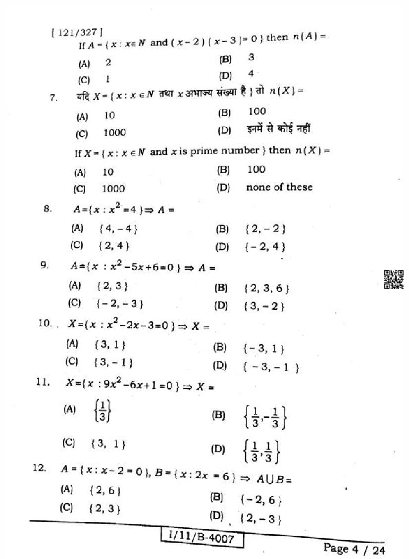
The Bihar Board Question Paper for Class 11 (Class XI) Maths is as follows.
Bihar Board Class 11 Maths Question Paper 2025 PDF Download Link – Click Here to Download Question Paper PDF
Bihar Board Class 11 Maths Question Paper 2024 PDF Download Link – Click Here to Download Question Paper PDF
Bihar Board Class 11 Maths Question Paper 2023 PDF Download Link – Click Here to Download Question Paper PDF
More BSEB Class 11 Maths Question Papers PDF Download Link – Click Here to Download Old Question Paper PDFs
Bihar Board Class 11 Maths Question Paper 2025 PDF
The latest Maths previous year question paper is as follows.
Bihar Board 11th Question Paper 2025 Maths View Download


























Bihar Board Class 11 Question Papers
You have to appear in multiple subject papers in addition to Maths for class 11 exams. And to do well in all of them, you need the Class XI question papers for each. So here are all the BSEB Class XI Question Papers for all subjects.
Bihar Board Question Papers
Similarly you can download the previous year question papers of all classes of Bihar Board from here on aglasem.
- Bihar Board Class 9 First Terminal Exam Question Papers
- Bihar Board Class 10 First Terminal Exam Question Papers
- Bihar Board Class 10 Previous Year Question Papers
- Bihar Board Class 11 Previous Year Question Papers
- Bihar Board Class 12 Previous Year Question Papers
Bihar Board Class 11 Maths Question Paper – An Overview
The key highlights of this question paper are as follows.
| Aspects | Details |
|---|---|
| State | Bihar |
| Class | Class 11 (Class XI) |
| Subject | Maths |
| Study Material Here | Bihar Board Question Paper of Class 11 Maths |
| More Question Papers of This Class | Bihar Board Question Paper of Class 11 |
| All Question Papers of This Board | Bihar Board Previous Year Question Papers |
| All Study Material Of This Board | Bihar Board |
| Education Board | BSEB |
| BSEB Full Form | Bihar School Examination Board |
| Exam Dates | Bihar Board Class 11th Exam Date |
| Admit Cards | Bihar Board 11th Admit Card |
| Exam Results | Bihar Board 11th Result |
| Sample Papers | Bihar Board 11th Model Paper |
| Syllabus | Bihar Board Class 11 Syllabus |
If you have any queries on Bihar Board Class 11 Maths Question Paper 2025, then please ask in comments below.
To get study material, exam alerts and news, join our Whatsapp Channel.

