CG Board Class 9 English Question Paper 2026 is now available. You can download the CGBSE class 9th English Question Paper PDF from here on aglasem. This CG Board Class 9 Question Paper contains actual questions asked in English subject test in previous years with solutions. By solving this English paper, you wil increase your chances of getting full marks in Chhattisgarh Board exams of class 9th.
CG Board Class 9 English Question Paper 2026
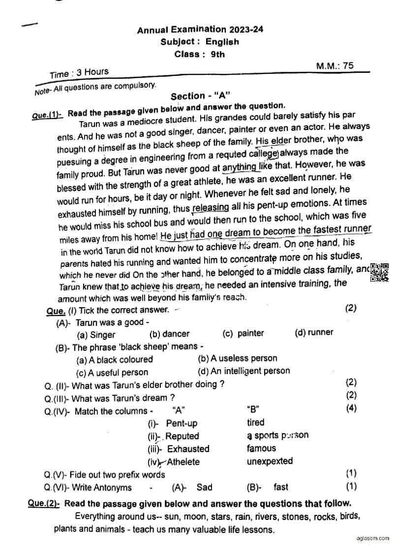
The CG Board Previous Year Question Paper for class 9 English is as follows.
CG Board Class 9 English Question Paper 2026 PDF Download Link – Link to Download Question Paper will be updated here after the exam…
CG Board Class 9 English Question Paper 2025 PDF Download Link – Click Here to Download Question Paper PDF
CG Board Class 9 English Question Paper 2024 PDF Download Link – Click Here to Download Question Paper PDF
CG Board Class 9 English Question Paper 2023 PDF Download Link – Click Here to Download Question Paper PDF
CG Board Class 9 English Question Paper 2020 PDF Download Link – Click Here to Download Question Paper PDF
CG Board Class 9 English Question Paper 2026 PDF
The latest available official question paper is as follows.
CG Board Class 9 Question Paper 2025 English View Download









CG Board Class 9 Question Papers
You need to practice subjects besides English for an excellent result in 9th standard. Thus all the previous year question papers of CGBSE class 9 are as follows.
CGBSE Previous Year Question Papers
Likewise the class wise previous year question papers of Chhattisgarh Board are as follows.
- CGBSE Class 1 Question Papers
- CGBSE Class 2 Question Papers
- CGBSE Class 3 Question Papers
- CGBSE Class 4 Question Papers
- CGBSE Class 5 Question Papers
- CGBSE Class 6 Question Papers
- CGBSE Class 7 Question Papers
- CGBSE Class 8 Question Papers
- CGBSE Class 9 Question Papers
- CGBSE Class 10 Question Papers
- CGBSE Class 11 Question Papers
- CGBSE Class 12 Question Papers
CG Board Class 9 English Books and Solutions
- CGBSE has recommended Chhattisgarh Board Class 9th English Textbooks published by SCERT Raipur.
- Therefore you should complete Chhattisgarh Board Class 9 English Syllabus from CG Board Class 9 Book of English.
- Moreover you can use CG Board Solutions i.e. CG Board Class 9 English Guide or the Chhattisgarh State Class 9th English Solution to solve questions asked in exercises of the textbooks.
- Besides you can check English exam dates in CG Board 9th Time Table either in school notice board or cgbse.nic.in.
- And post exams, know English marks in CG Board 9th Result from your school or results.cg.nic.in.
CGBSE Class 9 English Question Paper – An Overview
The key details of this study material are as follows.
| Aspects | Details |
|---|---|
| State | Chhattisgarh |
| Class | Class 9 |
| Subject | English |
| Educational Resource Here | CGBSE Question Paper of Class 9 English |
| More Previous Year Question Papers of This Class | CGBSE Question Paper of Class 9 |
| Name of Education Board | CGBSE |
| More Previous Year Question Papers of This Board | CGBSE Question Papers |
| CGBSE Full Form | Chhattisgarh Board of Secondary Education |
| More Details of This Board | CGBSE |
If you have any queries on CG Board Class 9 English Question Paper 2026, then please ask in comments below.
To get study material, exam alerts and news, join our Whatsapp Channel.
