Class 10 English Half Yearly Question Paper 2025 contain questions asked in English exam in 10th standard half-yearly assessment tests. Now at aglasem.com, you can readily download 10th Half Yearly English Question Paper PDF. As class 10 half yearly question paper of English is an important study material for terminal examinations. Therefore if you are a student of std 10th, and your tests are coming up, then you should download English half yearly question paper and solve it to improve your preparation.
Class 10 English Half Yearly Question Paper 2025
The half yearly question paper for class 10 (or 10th std) for English subject is as follows.
Class 10 English Half Yearly Question Paper 2024-25 – Click Here to Download Question Paper PDF
Class 10 English Half Yearly Question Paper 2023-24 – Click Here to Download Question Paper PDF
Class 10 English Half Yearly Question Paper 2022-23 – Click Here to Download Question Paper PDF
Class 10 English Half Yearly Question Paper 2025 PDF
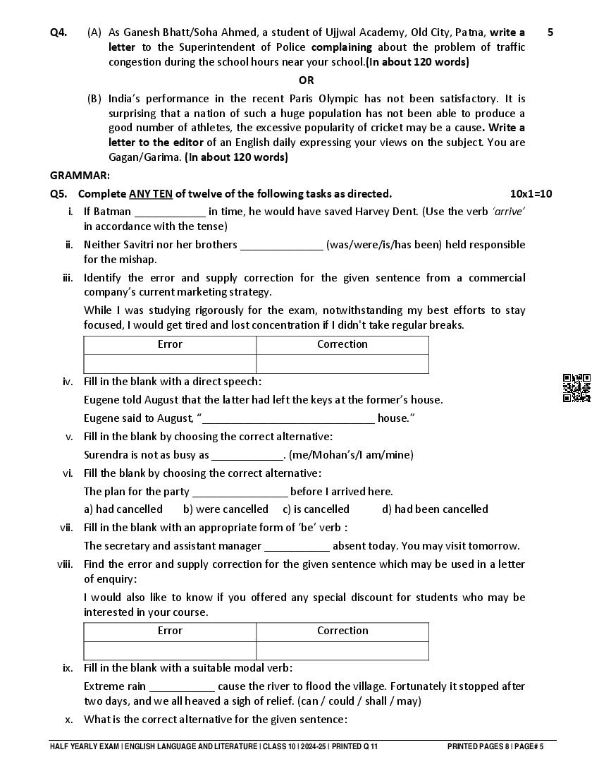
We have provided you the direct link to download English question paper above. However if you want to read the 10th English half yearly exam question paper here itself, that is also possible. The complete paper is as follows.
The latest available Question paper is given below. New PYQP is coming soon.
Class 10 Question Paper 2024-25 English (Half Yearly) View Download









Class 10 Half Yearly Question Paper
After you have solved the 10th English half yearly exam question paper, you may want the test papers for other subjects. So here are the subject-wise papers of half-yearly exams for class 10.
Half Yearly Question Paper
Schools organize half yearly assessments for all classes. Here are the class wise test papers.
10th Half Yearly English Question Paper – An Overview
Some important things to note are as follows.
| Aspects | Details |
|---|---|
| Class | Class 10th |
| Subject | English |
| Exam | Half Yearly Exams |
| Paper Here | 10th Half Yearly Question Paper English |
| More Question Papers of This Class | 10th Half Yearly Question Paper |
| All Half Yearly Exam Papers | Half Yearly Question Paper |
| Model Paper | Class 10 Sample Papers |
| Books | NCERT Books for Class 10 |
| Solutions | NCERT Solutions for Class 10 |
If you have any queries about Class 10 English Half Yearly Question Paper 2025, then please ask in comments below. And if you found this study material helpful, then please share with your friends!
To get study material, exam alerts and news, join our Whatsapp Channel.
