Class 11 Physical Education Half Yearly Question Paper 2025 contain questions asked in Physical Education exam in 11th standard half-yearly assessment tests. Now at aglasem.com, you can readily download 11th Half Yearly Physical Education Question Paper PDF. As class 11 half yearly question paper of Physical Education is an important study material for terminal examinations. Therefore if you are a student of std 11th, and your tests are coming up, then you should download Physical Education half yearly question paper and solve it to improve your preparation.
Class 11 Physical Education Half Yearly Question Paper 2025
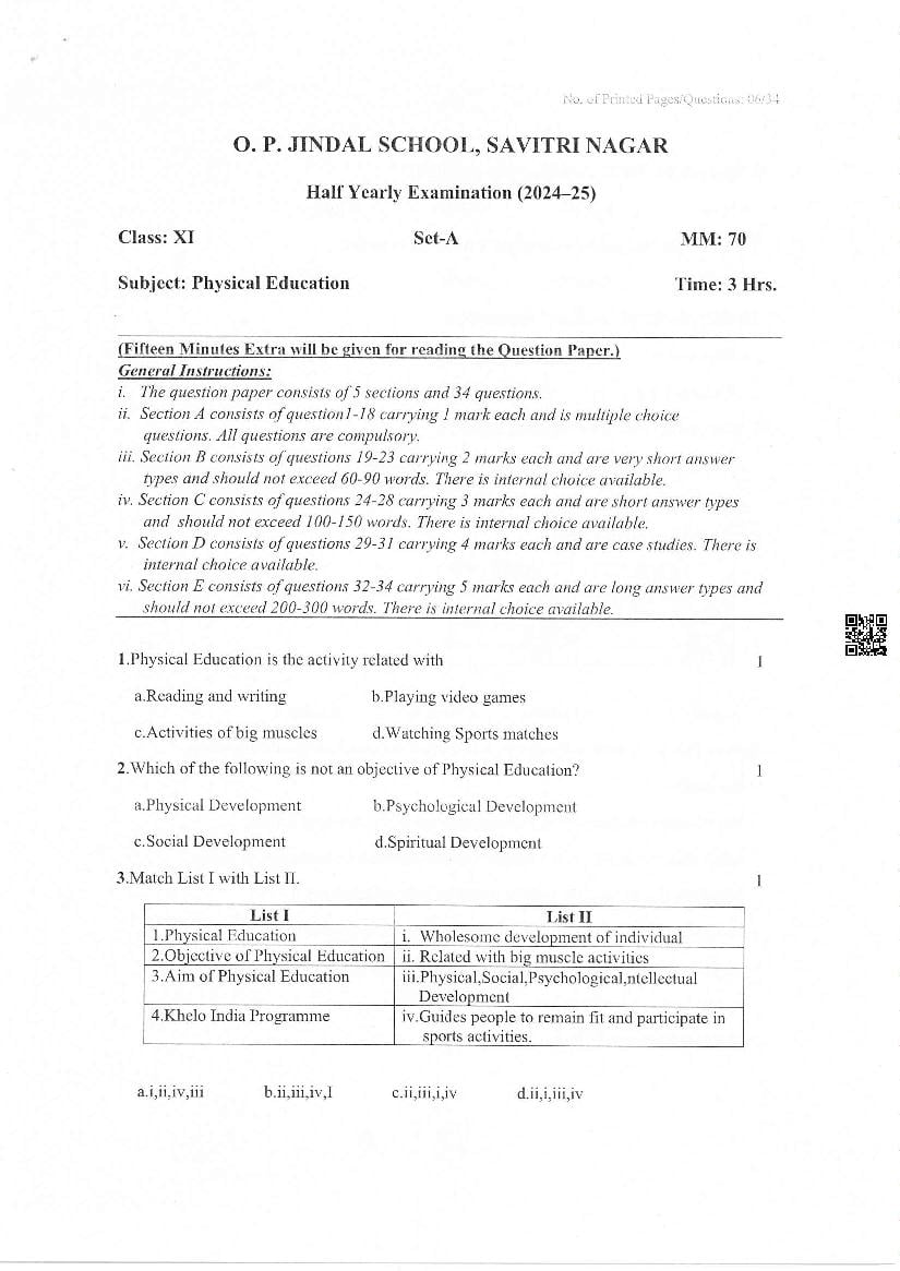
The half yearly question paper for class 11 (or 11th std) for Physical Education subject is as follows.
Class 11 Physical Education Half Yearly Question Paper 2024-25 – Click Here to Download Question Paper PDF
Class 11 Physical Education Half Yearly Question Paper 2023-24 – Click Here to Download Question Paper PDF
Class 11 Physical Education Half Yearly Question Paper 2022-23 – Click Here to Download Question Paper PDF
Class 11 Physical Education Half Yearly Question Paper 2025 PDF
We have provided you the direct link to download Physical Education question paper above. However if you want to read the 11th Physical Education half yearly exam question paper here itself, that is also possible. The complete paper is as follows.
The latest available Question paper is given below. New PYQP is coming soon.
Class 11 Question Paper 2024-25 Physical Education (Half Yearly) View Download







Class 11 Half Yearly Question Paper
After you have solved the 11th Physical Education half yearly exam question paper, you may want the test papers for other subjects. So here are the subject-wise papers of half-yearly exams for class 11.
- Accountancy
- Agriculture
- Artificial Intelligence
- Biology
- Business Studies
- Chemistry
- Computer Science
- Economics
- English
- Entrepreneurship
- Geography
- Hindi
- History
- Home Science
- IP
- Information Technology
- Maths
- Physical Education
- Physics
- Political Science
- Psychology
- Retail
- Sociology
Half Yearly Question Paper
Schools organize half yearly assessments for all classes. Here are the class wise test papers.
11th Half Yearly Physical Education Question Paper – An Overview
Some important things to note are as follows.
| Aspects | Details |
|---|---|
| Class | Class 11th |
| Subject | Physical Education |
| Exam | Half Yearly Exams |
| Paper Here | 11th Half Yearly Question Paper Physical Education |
| More Question Papers of This Class | 11th Half Yearly Question Paper |
| All Half Yearly Exam Papers | Half Yearly Question Paper |
| Model Paper | Class 11 Sample Papers |
| Books | NCERT Books for Class 11 |
| Solutions | NCERT Solutions for Class 11 |
If you have any queries about Class 11 Physical Education Half Yearly Question Paper 2025, then please ask in comments below. And if you found this study material helpful, then please share with your friends!
To get study material, exam alerts and news, join our Whatsapp Channel.

