Class 11 Physics Gravitation – Get here the Notes, Question & Practice Paper of Class 11 Physics for topic Gravitation Notes. Gravitation Notes for Class 11 Physics are here. You can download the Gravitation Notes PDF to study all the topics in this chapter. Moreover the class 11 Physics notes include chapter summary, definitions, examples, and key pointers for Gravitation. Thus if you are studying class Physics (भौतिक विज्ञान), then the Gravitation notes will help you easily understand the topic and ace it.
Class 11 Physics Notes for Gravitation
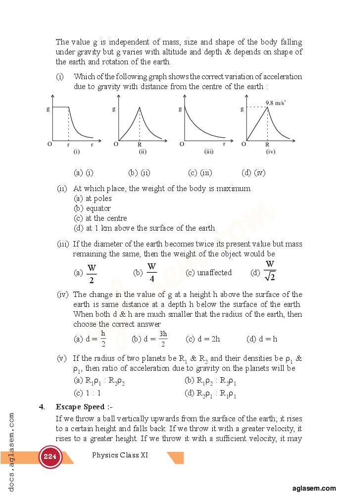
Gravitation is a critical part in the study of Physics. In India, it is taught in class. Therefore the class 11 Notes for Physics topic Gravitation have been compiled by teachers and field experts. They explain the complete chapter of Gravitation in one-shot. Whether you are studying the topic Gravitation to complete your class syllabus, or for any competitive exam like JEE, NEET, UPSC, you can simply refer these notes to complete the chapter in one-shot!
Gravitation Notes Download Link – Click Here to Download PDF
Gravitation Notes for Class 11 Physics PDF
The PDF of Gravitation class 11 notes is as follows. You can view the document here and also download it to use it anytime for future reference whenever you want to brush up your concepts of Physics.
Class 11 Physics Notes Gravitation View Download








































Candidates who are ambitious to qualify the Class 11 with good score can check this article for Notes, Study Material, Practice Paper. Above we provided the link to access the Notes, Important Question and Practice Paper of Class 11 Physics for topic Gravitation.
All Topics Class 11 Physics Notes
Chapter wise notes for Physics (भौतिक विज्ञान) are given below.
- Dimensions and Measurement
- Gravitation
- Kinematics
- Kinetic Theory of Gases
- Matter
- Motion
- Newton’s Laws of Motion and Friction
- Oscillations and Waves
- Thermodynamics
- Work, Energy and Power
Class 11 Notes for All Subjects
- Class 11 Accountancy Notes
- Class 11 Biology Notes
- Class 11 Business Studies Notes
- Class 11 Chemistry Notes
- Class 11 Economics Notes
- Class 11 English Notes
- Class 11 Geography Notes
- Class 11 Hindi Notes
- Class 11 History Notes
- Class 11 Maths Notes
- Class 11 Physical Education Notes
- Class 11 Physics Notes
- Class 11 Political Science Notes
- Class 11 Sociology Notes
NCERT Solutions for Class 11 Physics Gravitation
The Gravitation notes here help you solve the questions and answers. Also, you can complete the class 11 Gravitation worksheet using the same. In addition you will also tackle CBSE Class 11 Physics Important Questions with these class 11 notes.
However if you still need help, then you can use the NCERT Solutions for Class 11 Physics Gravitation to get all the answers. Gravitation solutions contain questions, answers, and steps to solve all questions.
Notes for All Classes
Gravitation Notes for Class 11 Physics – An Overview
| Name of Topic | Gravitation |
| Class | 11 |
| Subject | Physics |
| All Class 11 Physics Notes | Class 11 Physics Notes |
| All Class 11 Notes | Class 11 Notes |
Class 11 Gravitation Notes for All Boards
You can use the class 11 Physics notes of Gravitation for all boards.
The education boards in India for which Gravitation notes are relevant are – CBSE, CISCE, AHSEC, CHSE Odisha, CGBSE, HBSE, HPBOSE, PUE Karnataka, MSBSHSE, PSEB, RBSE, TBSE, UPMSP, UBSE, BIEAP, BSEB, GBSHSE, GSEB, JAC, JKBOSE, KBPE, MBOSE, MBSE, MPBSE, NBSE, DGE TN, TSBIE, COHSEM, WBCHSE.
Therefore you can refer to these notes as CBSE, CISCE, AHSEC, CHSE Odisha, CGBSE, HBSE, HPBOSE, PUE Karnataka, MSBSHSE, PSEB, RBSE, TBSE, UPMSP, UBSE, BIEAP, BSEB, GBSHSE, GSEB, JAC, JKBOSE, KBPE, MBOSE, MBSE, MPBSE, NBSE, DGE TN, TSBIE, COHSEM, WBCHSE notes for class Class 11 / Class / Physics for the topic Gravitation.
To get study material, exam alerts and news, join our Whatsapp Channel.
