Class 11 Maths Question Paper 2025 contains important practice questions and solutions based on the Maths exam for 11th standard annual assessments. At aglasem.com, you can quickly download the 11th Annual Exam Maths Question Paper PDF and previous year papers for free. The class 11 Maths question paper is an essential study resource for exam preparation, helping you understand the exam pattern and frequently asked questions. If you are a 11th student, solving these Maths previous year question papers will strengthen your preparation, improve time management, and boost confidence for the final exams.
Class 11 Maths Question Paper 2025
The question paper 2025, 2024, 2023 for class 11 (or 11th std) for Maths subject is as follows.
Class 11 Maths Question Paper 2025 – Click Here to Download Annual Exam Question Paper PDF
Class 11 Maths Question Paper 2024 – Click Here to Download Annual Exam Question Paper PDF
Class 11 Maths Question Paper 2023 – Click Here to Download Annual Exam Question Paper PDF
Class 11 Maths Annual Exam Question Paper 2025 PDF
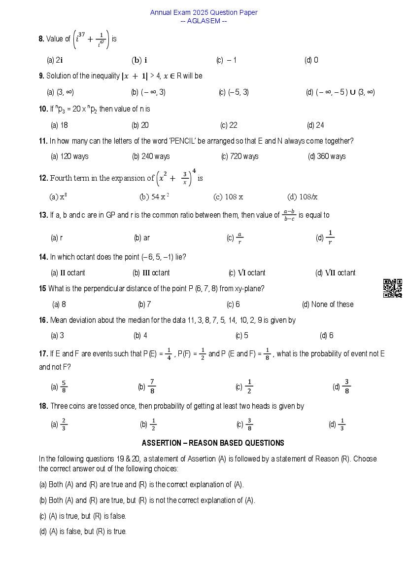
We have provided you the direct link to download Maths question paper above. However if you want to read the 11th Maths Annual Exam exam question paper here itself, that is also possible. The complete paper is as follows.
Class 11 Question Paper 2025 Maths View Download















Class 11 Annual Exam Question Paper
After you have solved the 11th Maths Annual Exam question paper, you may want the test papers for other subjects. So here are the subject-wise papers of final yearly exams for class 11.
- Accountancy
- Biology
- Business Studies
- Chemistry
- Computer Science
- Economics
- English
- Geography
- Hindi
- History
- Maths
- Physics
- Political Science
- Sociology
Other Classes Yearly Exam Question Paper
Schools organize Annual Exam assessments for all classes. Here are the class wise test papers.
- Question Papers for Class 12
- Question Papers for Class 11
- Question Papers for Class 10
- Question Papers for Class 9
- Question Papers for Class 8
- Question Papers for Class 7
- Question Papers for Class 6
11th Annual Exam Maths Question Paper – An Overview
Some important things to note are as follows.
| Aspects | Details |
|---|---|
| Class | Class 11th |
| Subject | Maths |
| Exam | Annual Exam Exams / Final Exam / Yearly Exam |
| Paper Here | 11th Question Paper Maths |
| More Question Papers of This Class | 11th Annual Exam Question Paper |
| All Annual Exam Exam Papers | Annual Exam Question Paper |
| Half-Yearly Exam Question Papers | Class 11 Half-Yearly Question Papers |
| Sample Question Papers | Class 11 Sample Papers |
| Books | NCERT Books for Class 11 |
| Solutions | NCERT Solutions for Class 11 |
If you have any queries about Class 11 Maths Annual Exam Question Paper 2025, then please ask in comments below. And if you found this study material helpful, then please share with your friends!
To get study material, exam alerts and news, join our Whatsapp Channel.
