Class 12 Retail Half Yearly Question Paper 2025 contain questions asked in Retail exam in 12th standard half-yearly assessment tests. Now at aglasem.com, you can readily download 12th Half Yearly Retail Question Paper PDF. As class 12 half yearly question paper of Retail is an important study material for terminal examinations. Therefore if you are a student of std 12th, and your tests are coming up, then you should download Retail half yearly question paper and solve it to improve your preparation.
Class 12 Retail Half Yearly Question Paper 2025
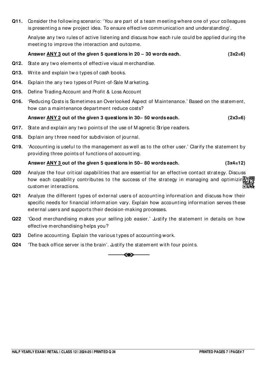
The half yearly question paper for class 12 (or 12th std) for Retail subject is as follows.
Class 12 Retail Half Yearly Question Paper 2024-25 – Click Here to Download Question Paper PDF
Class 12 Retail Half Yearly Question Paper 2023-24 – Click Here to Download Question Paper PDF
Class 12 Retail Half Yearly Question Paper 2022-23 – Click Here to Download Question Paper PDF
Class 12 Retail Half Yearly Question Paper 2025 PDF
We have provided you the direct link to download Retail question paper above. However if you want to read the 12th Retail half yearly exam question paper here itself, that is also possible. The complete paper is as follows.
The latest available Question paper is given below. New PYQP is coming soon.
Class 12 Question Paper 2024-25 Retail (Half Yearly) View Download














Class 12 Half Yearly Question Paper
After you have solved the 12th Retail half yearly exam question paper, you may want the test papers for other subjects. So here are the subject-wise papers of half-yearly exams for class 12.
- Accountancy
- Agriculture
- Artificial Intelligence
- Biology
- Business Studies
- Chemistry
- Computer Science
- Economics
- English
- Geo
- Hindi
- History
- IP
- Information Technology
- Maths
- Physical Education
- Physics
- Political Science
- Psychology
- Retail
- Sociology
Half Yearly Question Paper
Schools organize half yearly assessments for all classes. Here are the class wise test papers.
12th Half Yearly Retail Question Paper – An Overview
Some important things to note are as follows.
| Aspects | Details |
|---|---|
| Class | Class 12th |
| Subject | Retail |
| Exam | Half Yearly Exams |
| Paper Here | 12th Half Yearly Question Paper Retail |
| More Question Papers of This Class | 12th Half Yearly Question Paper |
| All Half Yearly Exam Papers | Half Yearly Question Paper |
| Model Paper | Class 12 Sample Papers |
| Books | NCERT Books for Class 12 |
| Solutions | NCERT Solutions for Class 12 |
If you have any queries about Class 12 Retail Half Yearly Question Paper 2025, then please ask in comments below. And if you found this study material helpful, then please share with your friends!
To get study material, exam alerts and news, join our Whatsapp Channel.

