Class 12 Maths Sample Paper 2026 is now available! If you are currently in class 12 and preparing for your annual or final exams, don’t miss the opportunity to download the Maths sample paper PDF from aglasem.com. This comprehensive sample paper is designed specifically for class 12 and includes a variety of questions covering the entire Maths syllabus for class 12th. By practicing these questions, you’ll be well-equipped to achieve excellent marks in your class 12 yearly exams!
| Class | 12th |
| Term | Annual, Yearly, Term 2, End Term |
| Resource | Sample Paper, Model Paper, Practice Paper |
| Subject | Maths |
| Year | 2026, 2025, 2024 |
Class 12 Maths Sample Paper 2026
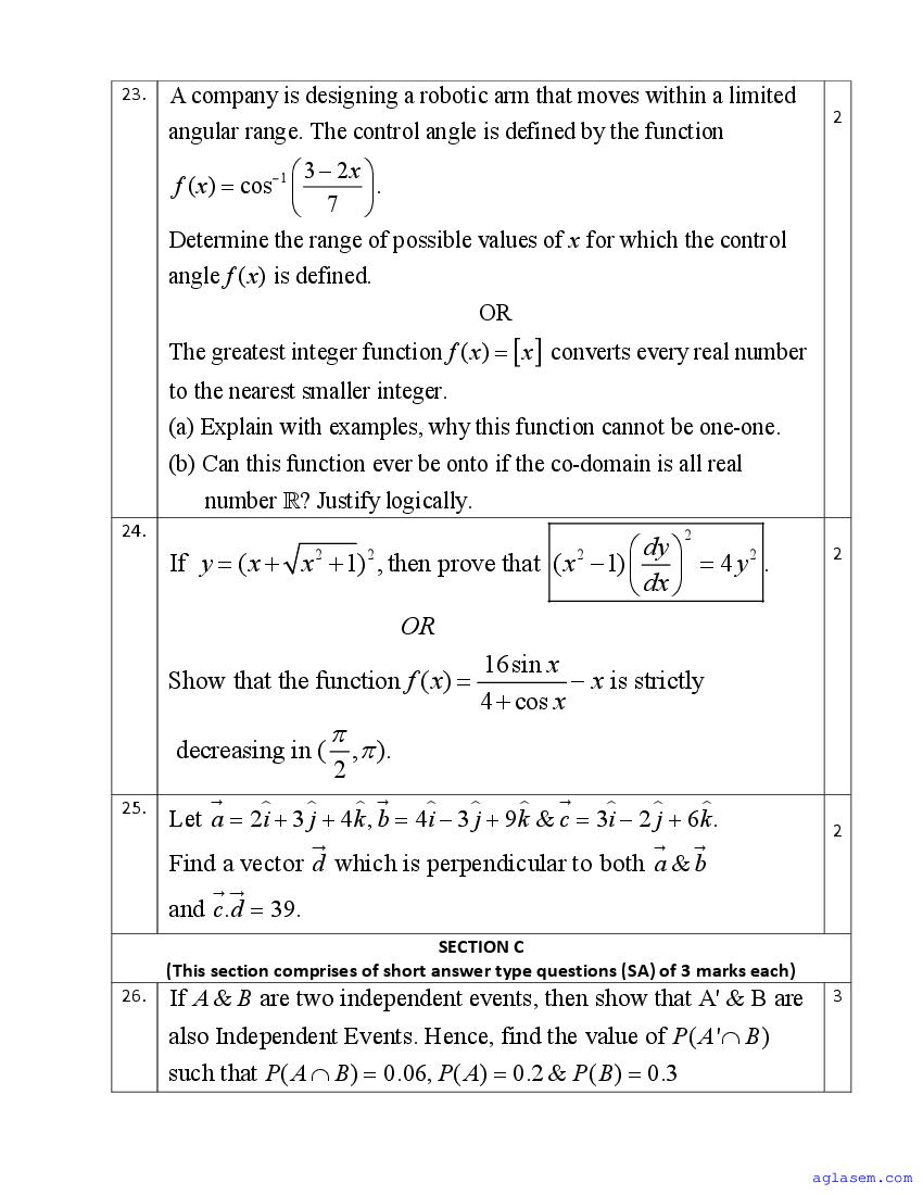
The class 12 Maths final exam sample question paper is the specimen paper for Maths subject. It has model questions from class 12 yearly syllabus for Maths subject.
Class 12 Maths Sample Paper 2026 PDF Download Link – Click Here to Download Model Question Paper PDF
Class 12 Maths Sample Paper 2025 PDF Download Link – Click Here to Download Model Question Paper PDF
Class 12 Maths Sample Paper 2024 PDF Download Link – Click Here to Download Model Question Paper PDF
Class 12 Maths Model Question Paper Annual Exam 2026 PDF
The Class 12 Sample Paper 2026 Maths Annual Exam PDF is given below. You can solve the Maths paper here. Or you can also download the pdf to practice the class 12 Maths questions anytime.
Class 12 Sample Paper 2026 Math View Download











If you are studying in CBSE board or any state board where NCERT syllabus is referred these NCERT Class 12 Sample Papers are most important for your upcoming term 2 examination. In some schools Annual exams are also known as Term 2 examination or yearly examination.
All Subject Class 12 Sample Paper 2026 Annual Exam
- Class 12 Sample Paper Accountancy
- Class 12 Sample Paper Biology
- Class 12 Sample Paper Business Studies
- Class 12 Sample Paper Chemistry
- Class 12 Sample Paper Computer Science
- Class 12 Sample Paper Economics
- Class 12 Sample Paper Engineering Graphics
- Class 12 Sample Paper English
- Class 12 Sample Paper Geography
- Class 12 Sample Paper Hindi
- Class 12 Sample Paper History
- Class 12 Sample Paper Home Science
- Class 12 Sample Paper Informatics Practices
- Class 12 Sample Paper Maths
- Class 12 Sample Paper Physical Education
- Class 12 Sample Paper Physics
- Class 12 Sample Paper Political Science
- Class 12 Sample Paper Sanskrit
- Class 12 Sample Paper Sociology
Class 12 students have a critical stage ahead of them as they prepare for their annual exams. One of the best ways to prepare is by practicing with sample papers, and what better way to do so than with a sample paper specifically designed for Class 12 Maths.
All Classes Sample Papers
All schools hold annual exam for various classes. The model question papers for different classes are as follows.
- Class 3 Sample Papers
- Class 4 Sample Papers
- Class 5 Sample Papers
- Class 6 Sample Papers
- Class 7 Sample Papers
- Class 8 Sample Papers
- Class 9 Sample Papers
- Class 10 Sample Papers
- Class 11 Sample Papers
- Class 12 Sample Papers
The sample paper gives students a sense of familiarity with the actual exam pattern and reduces exam-related stress and anxiety. This can help students perform better on the day of the exams and score higher marks. Preparing for exams can often be overwhelming, but utilizing the right resources can make a significant difference in your study routine.
The Class 12 Maths Sample Paper 2026 not only provides you with essential practice but also helps you identify areas where you may need further improvement. By engaging with these sample questions, students can gain confidence in their understanding of the material, and develop effective test-taking strategies. Consistent practice with these papers will aid in building familiarity with the format of the exam, making the actual test experience much more manageable and less stressful.
Class 12 Practice Paper 2025 for Maths – An Overview
The important highlights of this Std 12 Maths model paper are as follows.
| Aspects | Details |
|---|---|
| State | All States following NCERT |
| Class | Class 12 |
| Subject | Maths |
| AglaSem Paper | Class 12 Sample Paper of Maths |
| All Past Year Papers | Previous Year Question Papers |
| All Class-wise Notes | Class Notes |
In conclusion, the Class 12 Sample Paper 2026 Maths is a helpful tool for students who want to do well in their exams. By practicing these sample papers, you can learn the exam format and strengthen your knowledge of the subject. Remember, regular effort and smart study habits are important for success. Use this chance to improve your preparation, and feel free to ask for help if you need it. Good luck, and may you achieve great results in your exams!
If you have any queries about Class 12 Maths Sample Paper, then please ask in comments below. And if you found this study material helpful, then please share with your friends!
All the best for your exams!
To get study material, exam alerts and news, join our Whatsapp Channel.
