Class 12 English Question Paper 2025 contains important practice questions and solutions based on the English exam for 12th standard annual assessments. At aglasem.com, you can quickly download the 12th Annual Exam English Question Paper PDF and previous year papers for free. The class 12 English question paper is an essential study resource for exam preparation, helping you understand the exam pattern and frequently asked questions. If you are a 12th student, solving these English previous year question papers will strengthen your preparation, improve time management, and boost confidence for the final exams.
Class 12 English Question Paper 2025
The question paper 2025, 2024, 2023 for class 12 (or 12th std) for English subject is as follows.
Class 12 English Question Paper 2025 – Click Here to Download Annual Exam Question Paper PDF
Class 12 English Question Paper 2024 – Click Here to Download Annual Exam Question Paper PDF
Class 12 English Question Paper 2023 – Click Here to Download Annual Exam Question Paper PDF
Class 12 English Annual Exam Question Paper 2025 PDF
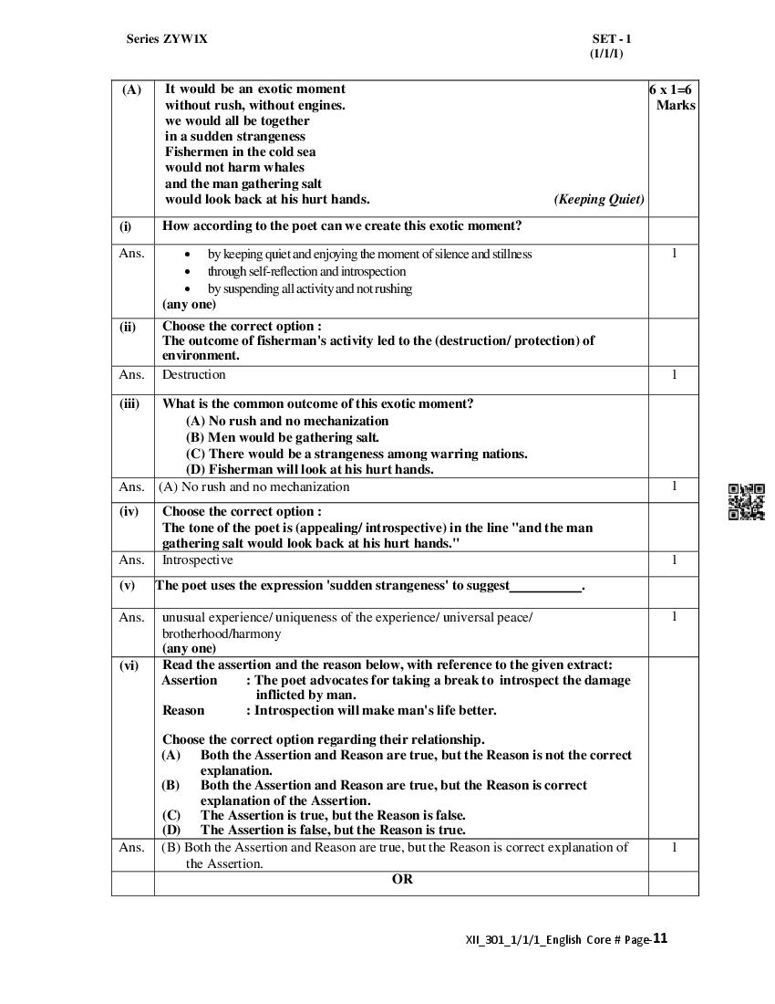
We have provided you the direct link to download English question paper above. However if you want to read the 12th English Annual Exam exam question paper here itself, that is also possible. The complete paper is as follows.
Class 12 Question Paper 2025 English View Download





































Class 12 Annual Exam Question Paper
After you have solved the 12th English Annual Exam question paper, you may want the test papers for other subjects. So here are the subject-wise papers of final yearly exams for class 12.
- Accountancy
- Biology
- Business Studies
- Chemistry
- Economics
- English
- Geography
- Hindi
- History
- Maths
- Physics
- Political Science
- Sociology
Other Classes Yearly Exam Question Paper
Schools organize Annual Exam assessments for all classes. Here are the class wise test papers.
- Question Papers for Class 12
- Question Papers for Class 11
- Question Papers for Class 10
- Question Papers for Class 9
- Question Papers for Class 8
- Question Papers for Class 7
- Question Papers for Class 6
12th Annual Exam English Question Paper – An Overview
Some important things to note are as follows.
| Aspects | Details |
|---|---|
| Class | Class 12th |
| Subject | English |
| Exam | Annual Exam Exams / Final Exam / Yearly Exam |
| Paper Here | 12th Question Paper English |
| More Question Papers of This Class | 12th Annual Exam Question Paper |
| All Annual Exam Exam Papers | Annual Exam Question Paper |
| Half-Yearly Exam Question Papers | Class 12 Half-Yearly Question Papers |
| Sample Question Papers | Class 12 Sample Papers |
| Books | NCERT Books for Class 12 |
| Solutions | NCERT Solutions for Class 12 |
If you have any queries about Class 12 English Annual Exam Question Paper 2025, then please ask in comments below. And if you found this study material helpful, then please share with your friends!
To get study material, exam alerts and news, join our Whatsapp Channel.

