Preparing for exams is simplified when you utilize quality practice material. For Class 7 students, the English Mid Term Question Paper 2025 serves as an invaluable resource to help you become exam-ready. This downloadable PDF of the 7th Mid Term Exam Paper features questions tailored to the NCERT syllabus and aligns with the exam pattern frequently adopted in schools, ensuring you are well-prepared for success.
Download Class 7 English Mid Term Question Paper 2025 PDF
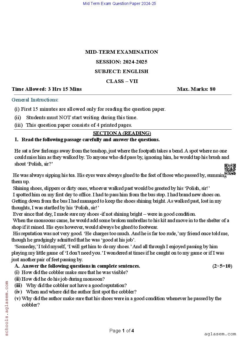
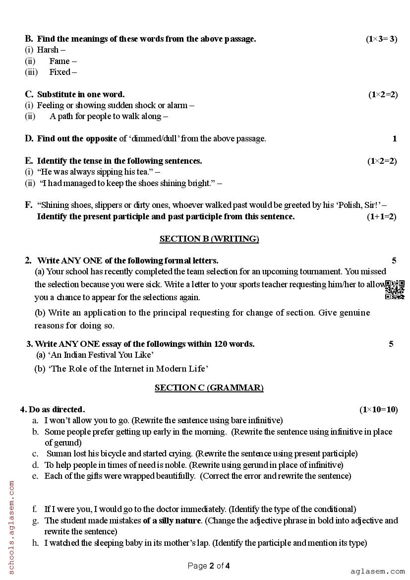
You can easily download the Class 7 English Mid Term Question Paper PDF from aglasem. The paper is prepared based on the latest syllabus and gives a clear idea of the type of questions asked in the exam. The mid term exam question paper for 7th std for English subject is as follows.
Class 7 English Mid Term Question Paper 2024-25 – Click Here to Download Question Paper PDF
Class 7 English Mid Term Question Paper 2025-26 – Coming Soon…
Why Practice Class 7 English Mid Term Question Paper?
The mid-term exam, often referred to as the Term 1 exam, assesses a student’s grasp of the material. Using the Class 7 English Mid Term Previous Year Question Paper 2025 allows you to: grasp the exam pattern and marking scheme, review key concepts from the NCERT Class 7 English syllabus, enhance time management skills by simulating exam conditions, and build confidence ahead of the actual exam.
The latest available Question paper is given below. New PYQP is coming soon.
Class 7 Question Paper 2024-25 English (Mid Term) View Download





How to Use the Mid Term PYQP?
Here is a simple way to make the most of the question paper:
- Download and print the PDF.
- Attempt the paper in one sitting, just like the actual exam.
- Use a timer to simulate real exam conditions.
- After finishing, check answers using NCERT 7th class textbooks and NCERT 7th Std Solutions.
- Identify weak areas and revise them thoroughly.
- Repeat practice before the exam day.
More Resources for Class 7 Students
AglaSem provides a wide collection of study and practice materials for Class 7. Along with English, you can download question papers for all subjects here:
The Class 7 English Mid Term Question Paper 2025 PDF is a must-have tool for students preparing for their Term 1 exams. By practicing with this paper, you not only get familiar with the exam pattern but also improve your confidence and performance.
All Mid Term Question Paper
Schools organize term 1 or mid term assessments for all classes. Here are the class wise test papers.
- Class 6 Mid Term Question Paper
- Class 7 Mid Term Question Paper
- Class 8 Mid Term Question Paper
- Class 9 Mid Term Question Paper
- Class 10 Mid Term Question Paper
- Class 11 Mid Term Question Paper
- Class 12 Mid Term Question Paper
7th Mid Term English Question Paper – An Overview
Some important things to note are as follows.
| Aspects | Details |
|---|---|
| Class | Class 7th |
| Subject | English |
| Exam | Mid Term Exams, Periodic Test, Term 1 |
| Paper Here | 7th Mid Term Question Paper English |
| More Question Papers of This Class | 7th Std Question Paper |
| All Exam Papers | Previous Year Question Paper |
| Model Paper | Class 7 Sample Papers |
| Notes | Notes for Class 7 |
| More Study Material | Writing Skills, Question Bank, Maps, CBQ |
Start your preparation early, download the question paper, and take your preparation to the next level with aglasem’s free resources!
To get study material, exam alerts and news, join our Whatsapp Channel.
