Class 8 English Half Yearly Question Paper 2025 contain questions asked in English exam in 8th standard half-yearly assessment tests. Now at aglasem.com, you can readily download 8th Half Yearly English Question Paper PDF. As class 8 half yearly question paper of English is an important study material for terminal examinations. Therefore if you are a student of std 8th, and your tests are coming up, then you should download English half yearly question paper and solve it to improve your preparation.
Class 8 English Half Yearly Question Paper 2025
The half yearly question paper for class 8 (or 8th std) for English subject is as follows.
Class 8 English Half Yearly Question Paper 2024-25 – Click Here to Download Question Paper PDF
Class 8 English Half Yearly Question Paper 2023-24 – Click Here to Download Question Paper PDF
Class 8 English Half Yearly Question Paper 2022-23 – Click Here to Download Question Paper PDF
Class 8 English Half Yearly Question Paper 2025 PDF
We have provided you the direct link to download English question paper above. However if you want to read the 8th English half yearly exam question paper here itself, that is also possible. The complete paper is as follows.
The latest available Question paper is given below. New PYQP is coming soon.
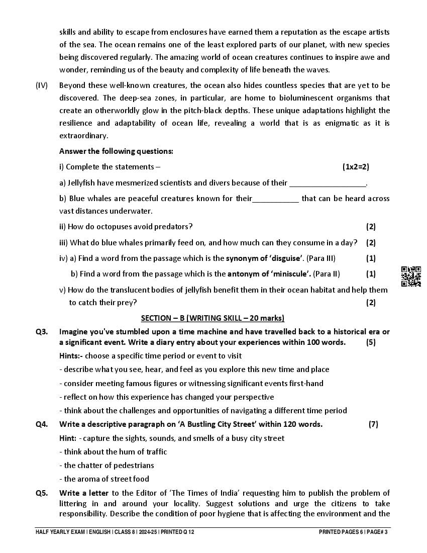
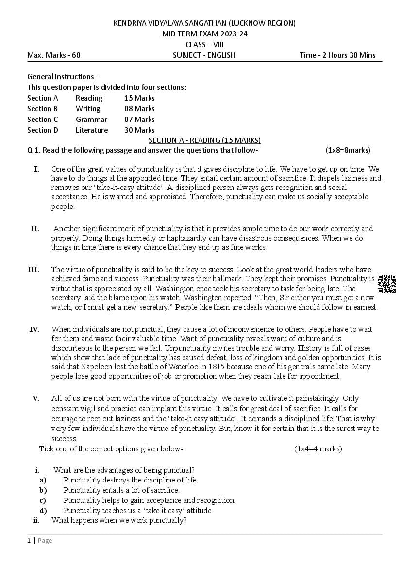
Class 8 Question Paper 2024-25 English (Half Yearly) View Download







Class 8 Half Yearly Question Paper
After you have solved the 8th English half yearly exam question paper, you may want the test papers for other subjects. So here are the subject-wise papers of half-yearly exams for class 8.
Half Yearly Question Paper
Schools organize half yearly assessments for all classes. Here are the class wise test papers.
8th Half Yearly English Question Paper – An Overview
Some important things to note are as follows.
| Aspects | Details |
|---|---|
| Class | Class 8th |
| Subject | English |
| Exam | Half Yearly Exams |
| Paper Here | 8th Half Yearly Question Paper English |
| More Question Papers of This Class | 8th Half Yearly Question Paper |
| All Half Yearly Exam Papers | Half Yearly Question Paper |
| Model Paper | Class 8 Sample Papers |
| Books | NCERT Books for Class 8 |
| Solutions | NCERT Solutions for Class 8 |
If you have any queries about Class 8 English Half Yearly Question Paper 2025, then please ask in comments below. And if you found this study material helpful, then please share with your friends!
To get study material, exam alerts and news, join our Whatsapp Channel.



