Edudel Syllabus Class 2 English 2025 has been released by DoE Delhi. You can now download the Edudel Class 2 English Syllabus PDF from Aglasem. This Edudel Syllabus Class 2 pertains to the English subject and outlines all the topics that 2nd standard students in government schools under DoE Delhi need to study to understand English. Furthermore, the topics are based on the DoE-recommended Class 2 English book.
Edudel Syllabus Class 2 English 2025
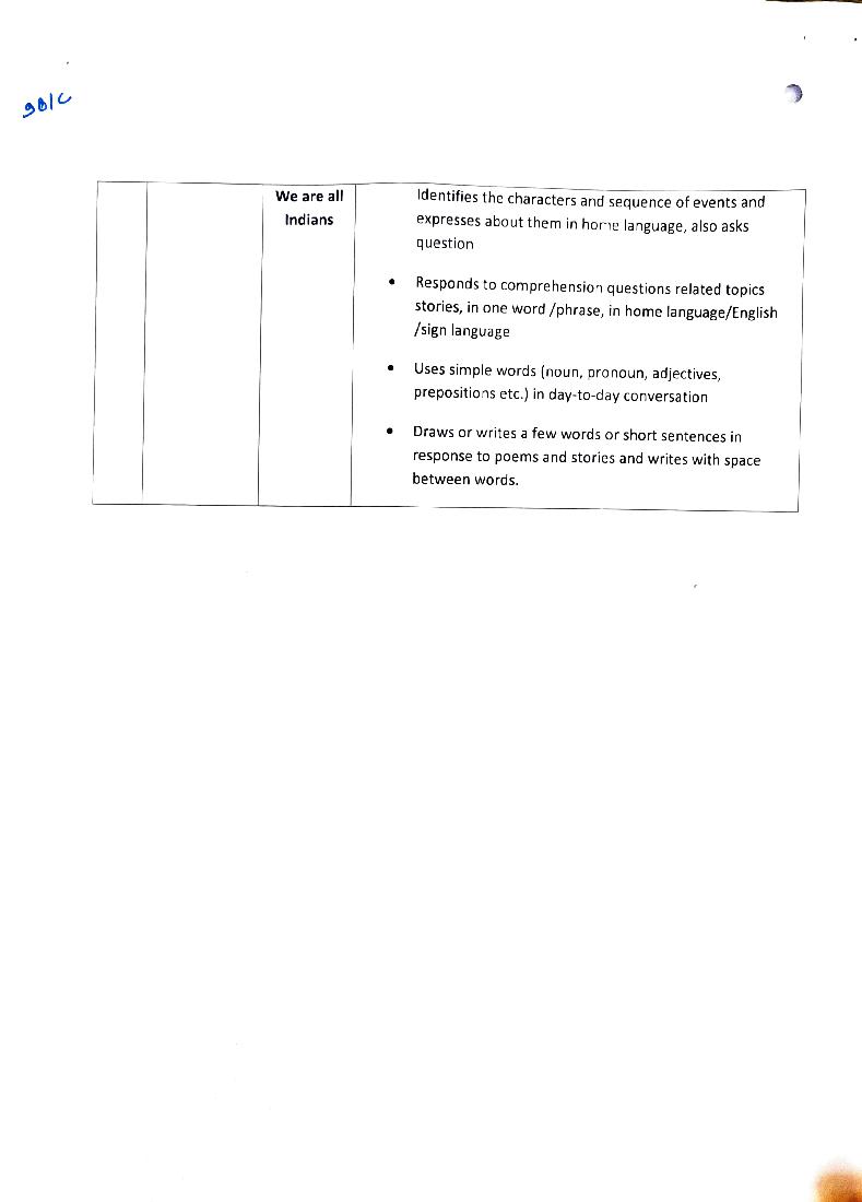
The Edudel syllabus for class 2 English is as follows. It has the subject name (English), code, contents with topic name, unit or chapter name, sub-topics, and date of completing the topic. Also whether the topic will come in English mid-term, or annual examination.
Edudel Syllabus Class 2 English 2025 PDF Download Link – Click Here to Download Syllabus PDF
Edudel Syllabus Class 2 English 2025 PDF
The complete English curriculum is as follows.
Edudel Syllabus 2025 Class 2 English View Download



Edudel Syllabus Class 2
The syllabus for all subjects of 2nd standard are as follows.
Edudel Syllabus
The class-wise curriculum for Delhi government schools in DoE as per Edudel are as follows.
Edudel Class 2 English Syllabus – An Overview
The important highlights of this curriculum are as follows.
| Aspects | Details |
|---|---|
| State | Delhi |
| School | Govt Schools under DoE Delhi |
| Class | Class 2 |
| Subject | English |
| Educational Material Here | Edudel Syllabus for Class 2 English |
| All Curriculum for This Class | Edudel Syllabus for Class 2 |
| Official Body | DoE Delhi |
| All Curriculum for Delhi Govt Schools | Edudel Syllabus |
If you have any queries on Edudel Syllabus Class 2 English, then please ask in comments below.
To get study material, exam alerts and news, join our Whatsapp Channel.

