Goa Board HSSC Biology Model Question Paper 2026 is published by GBSHSE. You can download the Goa Class 12 Biology Sample Paper PDF from here on aglasem. This Goa Board HSSC Model Paper contains specimen questions from the latest Biology syllabus in a pattern similar to what you will get in actual HSSC exams. Therefore by solving the Biology sample paper, you can boost your exam preparation and target 100% marks.
Goa Board HSSC Biology Model Question Paper 2026
The Goa Board Model Paper for HSSC (Class 12) Biology is as follows.
Goa Board HSSC Biology Model Question Paper 2026 – Click Here to Download Sample Paper PDF
Goa Board HSSC Biology Model Question Paper (old)- Click Here to Download Model Paper PDF
Goa Board HSSC Biology Model Question Paper 2026 PDF
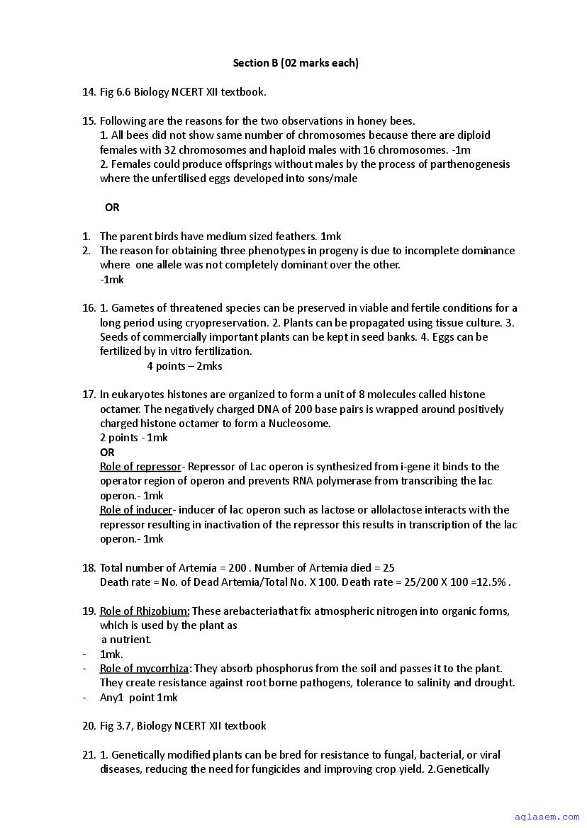
The complete specimen paper is as follows.
You can download the 2026 model paper as per availability here or at gbshse.in. Last released sample paper is as follows
Goa Board Class 12 Sample Paper 2026 Biology View Download

































Goa Board Class 12 Model Papers
The sample question papers for all subjects for Goa Board students in 12th standard are as follows.
- Accountancy
- Apparel Designing and Decoration
- Banking
- Biology
- Business Administration
- Business Studies
- Chemistry
- Clothing Construction
- Computer Science
- Confectionery
- Cooperation
- Cost Accounting & Taxation
- Dyeing & Printing
- Economics
- English Communications
- English Language
- Fiber to Fabric & Fashion Marketing
- French
- Geography
- Geology
- Hindi Language
- History
- Industrial Administration
- Insurance
- Introduction to Hospitality Indrustry
- Marathi
- Marathi TL
- Maths
- Office Administration
- Political Science
- Portuguese
- Principles & Practice of Auditing
- Psychology
- Sanskrit
- Secretarial Practice
- Sociology
- Software Applications
- Software Technology
- Travel Agency Operations & Ticketing
- Travel Formalities
- Web Technology
Goa Board Model Question Papers
Similarly the class wise example question papers for GBSHSE are as follows.
Goa Board HSSC Class 12 Biology
- Goa Board Class 12th Biology Syllabus – You should refer the Goa HSSC Syllabus for Biology as prescribed by the Goa Board of Secondary and Higher Secondary Education.
- Goa Board Class 12 Biology Textbook PDF – Moreover the syllabus topics have to be studied from Goa Board Textbook for HSSC Biology.
- Goa Board Class 12 Solutions for Biology – If you find any question difficult in Biology book, then you can use the Goa Board Solutions to solve the HSSC Biology problems.
- Goa Board Class 12 Biology Question Papers – Finally to enhance your preparation of Biology, use HSSC sample papers and previous year question papers.
Goa Board HSSC Biology Sample Paper – An Overview
The highlights of this educational resource are as follows.
| Aspects | Details |
|---|---|
| State | Goa |
| Board | GBSHSE |
| Class | Class 12th |
| Subject | Biology |
| Study Material Here | Goa Board Sample Question Paper of Class 12 Biology |
| More Model Papers for This Class | Goa Board Sample Question Paper of Class 12 |
| All Model Question Papers of This Board | Goa Board Sample Question Papers |
| Official Website | gbshse.in |
| Class 12 Previous Year Question Papers | Goa HSSC Previous Year Question Papers |
| Date Sheet | Goa HSSC Time Table |
| Results | Goa HSSC Result |
If you have any queries on Goa Board HSSC Biology Model Question Paper 2026, then please ask in comments below.
To get study material, exam alerts and news, join our Whatsapp Channel.


