Gujarat SSC English FL Question Paper 2025 is now available for download on Aglasem. Enhance your exam preparation by obtaining the SSC English FL Question Paper 2025 PDF. This comprehensive Gujarat SSC Question Paper features authentic questions from the previous year’s English FL test conducted in the class 10 board exams. It serves as an essential study resource for the English FL subject, enabling you to excel and achieve full marks in your upcoming SSC exams.
Gujarat SSC English FL Question Paper 2025
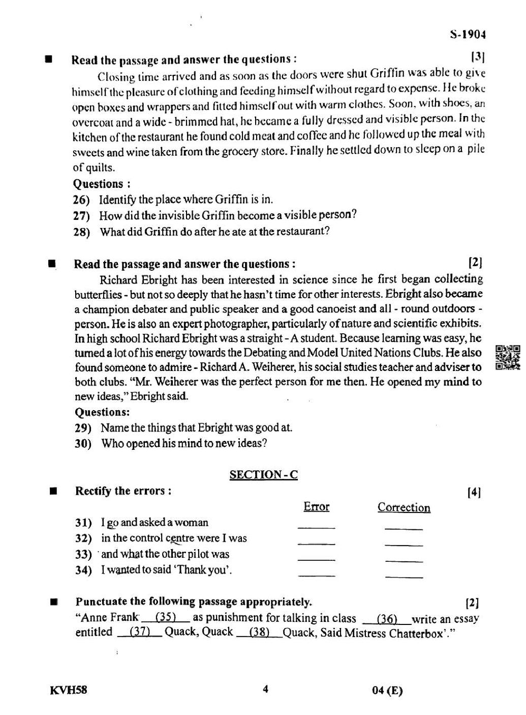
The Gujarat Board Exam Question Paper of Class 10 SSC English FL is as follows.
GSEB Class 10 English FL Question Paper 2025 Download Link – Click Here to Download Question Paper PDF
GSEB Class 10 English FL Question Paper 2024 Download Link – Click Here to Download Question Paper PDF
GSEB Class 10 English FL Question Paper 2022 Download Link – Click Here to Download Question Paper PDF
More Gujarat SSC English FL Question Papers Download Link – Click Here to View All
Gujarat SSC English FL Question Paper 2025 PDF
The complete question paper is as follows.
Latest question paper is below. However all old papers download links are given above.
GSEB Std 10th Question Paper 2025 English FL View Download










GSEB Class 10 Question Papers
Besides the English FL question paper, you can download SSC question for other subjects as well. Thus the Gujarat board class 10 question papers for all subjects are as follows.
- English FL
- English SL
- Gujarati
- Hindi FL
- Hindi SL
- Maths Basic
- Maths Standard
- Sanskrit
- Science
- Social Science
Gujarat Board Question Papers
Similarly the previous year question papers for all classes of Gujarat board are as follows.
- GSEB Class 9th Question Paper
- GSEB Class 10th Question Paper
- GSEB Class 11th Question Paper
- GSEB Class 12th Question Paper
SSC English FL
- To excel, it is essential to study the complete Gujarat Board SSC English FL Syllabus as outlined by MSBSHSE.
- Additionally, reading the Gujarat Board Class 10 English FL Textbook is crucial for thorough understanding.
- Utilize Gujarat State Board Class 10 English FL Solutions or the Balbharati Solutions for Class 10 English FL Solutions Digest to effectively tackle chapter-wise questions.
- For effective exam preparation, make use of the GSEB SSC English FL question bank, along with sample papers and previous year papers to boost your performance.
Gujarat Board Class 10 English FL Question Paper – An Overview
The important details of this critical study material are as follows.
| Aspects | Details |
|---|---|
| State | Gujarat |
| Class | Std 10 / SSC |
| Subject | English FL |
| Educational Resource Here | Gujarat Board Previous Year Question Paper of Class 10 English FL |
| More Question Papers of This Class | Gujarat Board Previous Year Question Paper of Class 10 |
| Board of Education | GBSE |
| More Question Papers of This Board | Gujarat Board Previous Year Question Papers |
| MSBSHSE Full Form | Gujarat State Board of Secondary & Higher Secondary Education |
| Class 10 Model Papers | SSC Sample Papers |
| Class 10 Syllabus | SSC Syllabus |
| Question Bank | Gujarat SSC Question Bank |
If you have any queries on Gujarat SSC English FL Question Paper 2025, then please ask in comments below.
To get study material, exam alerts and news, join our Whatsapp Channel.

