Gujarat HSC Chemistry Question Paper 2025 is now available for download on Aglasem. Enhance your exam preparation by obtaining the HSC Chemistry Question Paper 2025 PDF. This comprehensive Gujarat HSC Question Paper features authentic questions from the previous year’s Chemistry test conducted in the class 12 board exams. It serves as an essential study resource for the Chemistry subject, enabling you to excel and achieve full marks in your upcoming HSC exams.
Gujarat HSC Chemistry Question Paper 2025
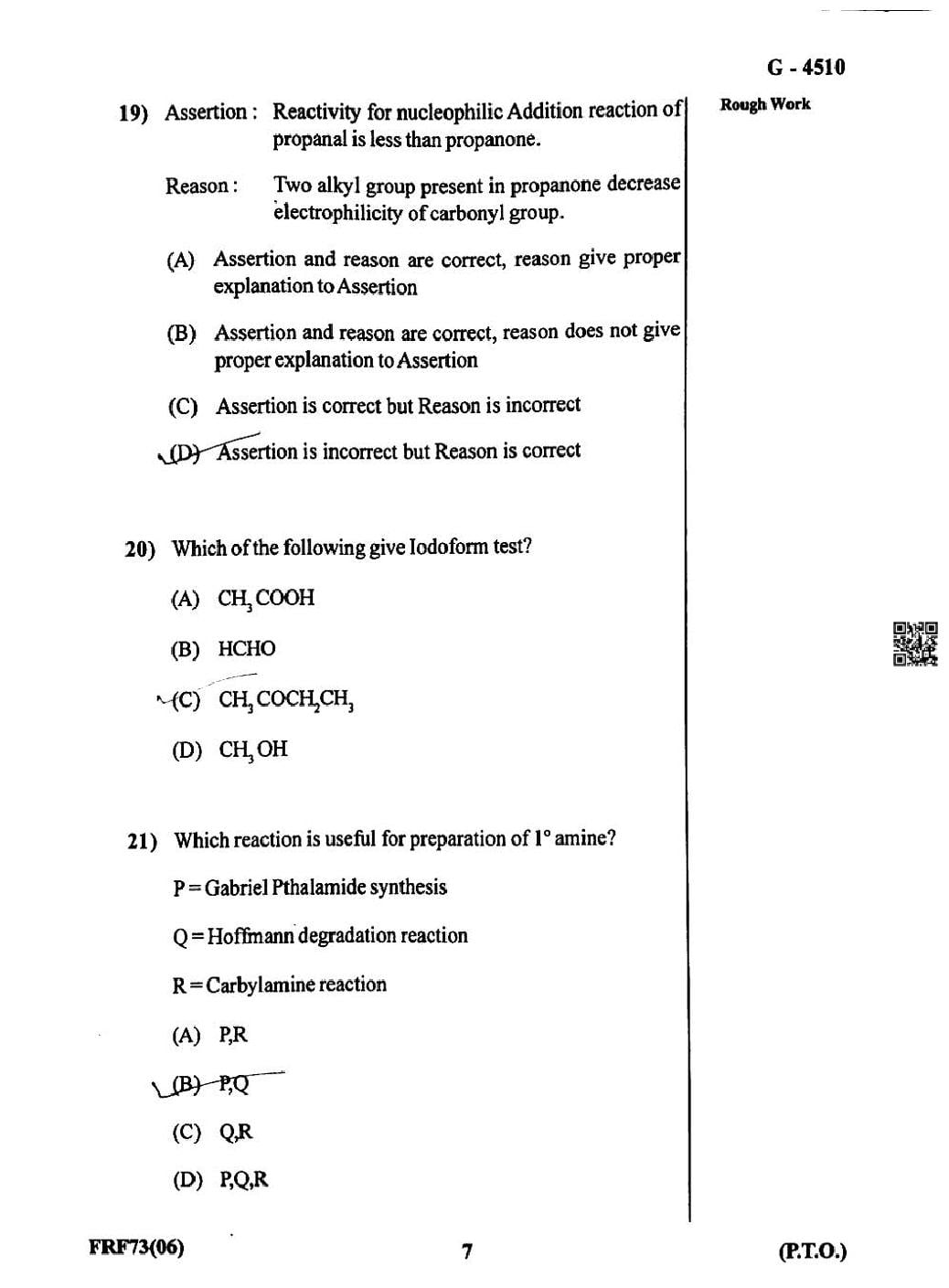
The Gujarat Board Exam Question Paper of Class 12 HSC Chemistry is as follows.
GSEB Class 12 Chemistry Question Paper 2025 Download Link – Click Here to Download Question Paper PDF
GSEB Class 12 Chemistry Question Paper 2024 Download Link – Click Here to Download Question Paper PDF
GSEB Class 12 Chemistry Question Paper 2022 Download Link – Click Here to Download Question Paper PDF
More Gujarat HSC Chemistry Question Papers Download Link – Click Here to View All
Gujarat HSC Chemistry Question Paper 2025 PDF
The complete question paper is as follows.
Latest question paper is below. However all old papers download links are given above.
GSEB Std 12th Question Paper 2025 Chemistry View Download




















GSEB Class 12 Question Papers
Besides the Chemistry question paper, you can download HSC question for other subjects as well. Thus the Gujarat board class 12 question papers for all subjects are as follows.
- Accountancy
- Biology
- Chemistry
- Economics
- English
- Gujarati
- History
- Maths
- Physics
- Psychology
- Sanskrit
- Sociology
Gujarat Board Question Papers
Similarly the previous year question papers for all classes of Gujarat board are as follows.
- GSEB Class 9th Question Paper
- GSEB Class 10th Question Paper
- GSEB Class 11th Question Paper
- GSEB Class 12th Question Paper
HSC Chemistry
- To excel, it is essential to study the complete Gujarat Board HSC Chemistry Syllabus as outlined by MSBSHSE.
- Additionally, reading the Gujarat Board Class 12 Chemistry Textbook is crucial for thorough understanding.
- Utilize Gujarat State Board Class 12 Chemistry Solutions or the Balbharati Solutions for Class 12 Chemistry Solutions Digest to effectively tackle chapter-wise questions.
- For effective exam preparation, make use of the GSEB HSC Chemistry question bank, along with sample papers and previous year papers to boost your performance.
Gujarat Board Class 12 Chemistry Question Paper – An Overview
The important details of this critical study material are as follows.
| Aspects | Details |
|---|---|
| State | Gujarat |
| Class | Std 12 / HSC |
| Subject | Chemistry |
| Educational Resource Here | Gujarat Board Previous Year Question Paper of Class 12 Chemistry |
| More Question Papers of This Class | Gujarat Board Previous Year Question Paper of Class 12 |
| Board of Education | GBSE |
| More Question Papers of This Board | Gujarat Board Previous Year Question Papers |
| MSBSHSE Full Form | Gujarat State Board of Secondary & Higher Secondary Education |
| Class 12 Model Papers | HSC Sample Papers |
| Class 12 Syllabus | HSC Syllabus |
| Question Bank | Gujarat HSC Question Bank |
If you have any queries on Gujarat HSC Chemistry Question Paper 2025, then please ask in comments below.
To get study material, exam alerts and news, join our Whatsapp Channel.
