GSEB Std 12th English (Science) Model Paper 2026 has been released by Gujarat Board. You can download the Gujarat Board Class 12 English (Science) Sample Paper PDF from this page on Aglasem for study purposes. This GSEB Std 12th Model Paper is for the English (Science ) subject to help you prepare for the Class 12 exams. The English (Science ) sample paper includes illustrative questions based on the latest Gujarat Board syllabus for Standard 12, thereby helping you prepare for the English (Science ) paper. By practicing with the Std 12 English (Science ) sample paper, you can aim for high marks in the GSEB exams.
GSEB Std 12th English (Science) Model Paper 2026
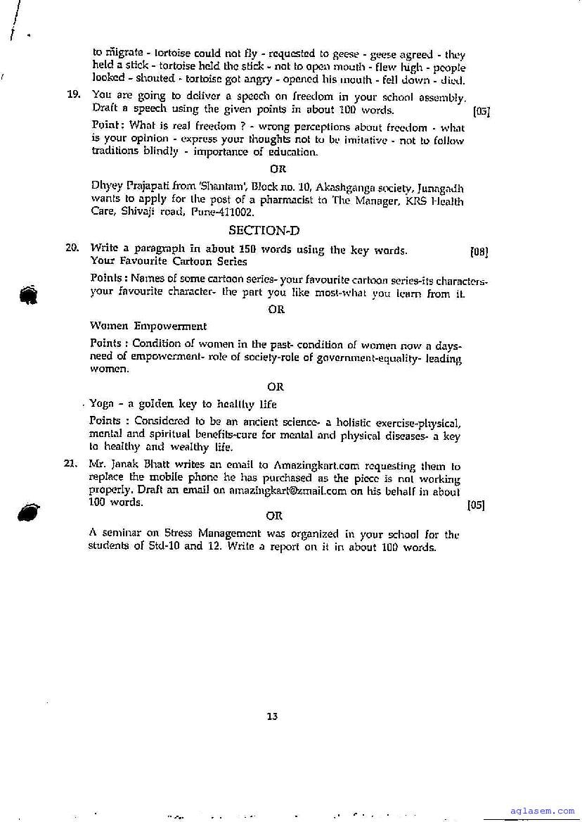
The GSEB Sample Paper for class 12 English (Science ) is as follows.
GSEB Std 12th English (Science) Model Paper 2026 PDF Download Link – Click Here to Download Sample Paper PDF
GSEB Std 12th English (Science) Model Paper 2026 PDF
The complete sample question paper is as follows.
GSEB 12th Std Model Question Paper 2026 English (Science) View Download












GSEB Class 12th Model Question Papers
There are multiple subjects to excel in class 12. So here are all sample papers of Gujarat Board for class 12.
- Biology
- Business Administration and Management
- Chemistry
- Economics
- English (General)
- English (Science )
- English SL
- Geography
- Hindi (General)
- Hindi (Science)
- Maths
- Philosophy
- Physics
- Psychology
- Statistics
GSEB Sample Papers
Similarly you can download the model papers for all classes of Gujarat board from aglasem.
- GSEB Std 9th Model Paper
- GSEB Std 11th Model Paper
- GSEB Std 10th Model Paper
- GSEB Std 12th Model Paper
GSEB Std 12th English (Science) Model Paper 2026 – An Overview
The important details of this study material are following.
| Aspects | Details |
|---|---|
| State | Gujarat |
| Class | Class 12 |
| Subject | English (Science ) |
| Educational Resource Here | Gujarat Board Class 12 English (Science ) Model Question Paper |
| More Sample Papers of This Class | Gujarat Board Class 12 Model Question Paper |
| All Sample Papers of This Board | Gujarat Board Model Question Paper |
| More Details of This Board | Gujarat Board |
| Name of Education Board | GSEB |
| Full Form | Gujarat Secondary and Higher Secondary Education Board |
If you have any queries on GSEB Std 12th English (Science) Model Paper 2026, then please ask in comments below.
To get study material, exam alerts and news, join our Whatsapp Channel.
