HP Board Class 11 English Model Paper 2026 has been released by HPBOSE. The HPBOSE Class 11 Sample Paper PDF for English is available here on Aglasem, along with a download link. You can now download the HP Board Class 11 model papers for English for 2026. The Himachal Pradesh Board of School Education has compiled the English model test paper based on the official syllabus, following the same pattern as the actual exam. By solving the complete English model test paper, you can strengthen your preparation for the Class 11 exam.
HP Board Class 11 English Model Paper 2026
The latest HPBOSE 11th Class Sample Paper for English is now available for download. Direct link to download it, the PDF, and all other details about it are as follows.
HP Board Class 11 English Model Paper 2026 Download Link – Click Here to Download PDF
HP Board Class 11 English Model Paper 2026 PDF
The latest available portable document format of the HPBOSE 11th Class Sample Test Paper of English is as follows.
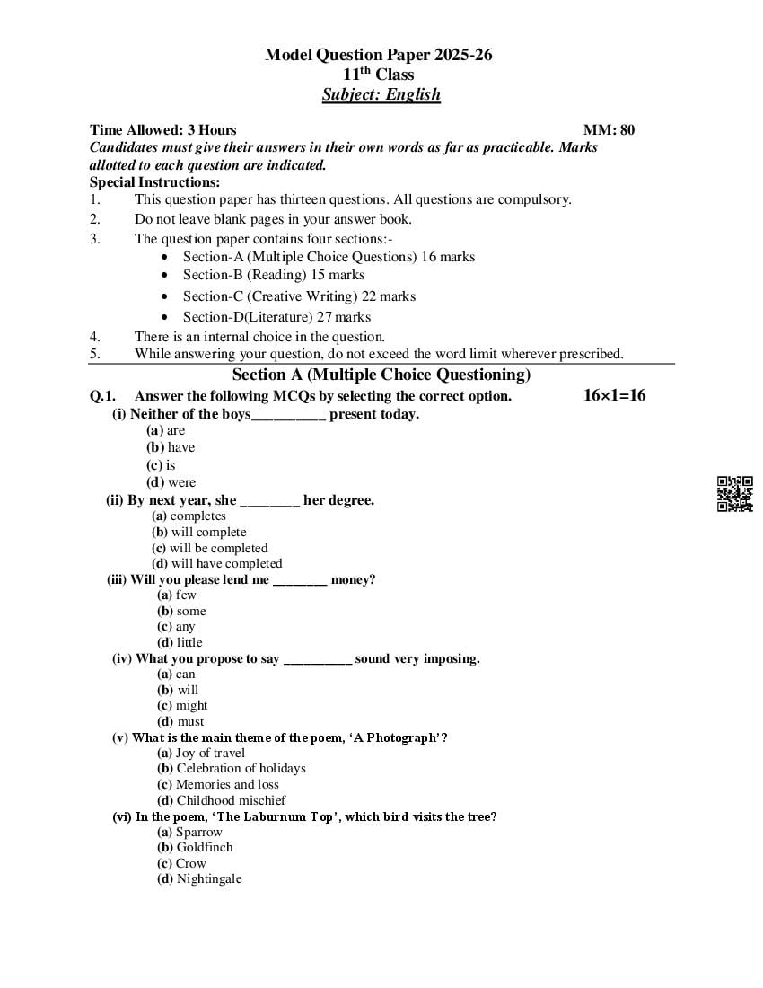
HP Board 11th Class Model Question Paper 2026 English View Download








HP Board Class 11 English Model Paper 2026 – An Overview
Some of the important things to note about the study material here for all Class 11 students who are preparing for their HPBOSE exams are as follows.
| Aspect | Details |
|---|---|
| Name of State | Himachal Pradesh |
| Name of Board | HPBOSE |
| Class | Class 11 / 11th Std |
| Subject | English |
| Full form of HPBOSE | Himachal Pradesh Board of School Education |
| Study Material Here | HP Board Class 11 Model Paper |
| All HPBOSE Model Papers | HP Board Model Papers |
| Sample Questions / Question Bank | HPBOSE Question Bank |
| Syllabus On Which HP Board Class 11 English Model Paper is Based | HP Board Syllabus |
More HP Board Class 11 Model Question Papers
- Accountancy
- Biology
- Business Studies
- Chemistry
- Computer Science
- Economics
- English
- Geography
- Hindi
- History
- Human Ecology and Family Science
- ITES
- Maths
- Physical Education
- Physics
- Political Science
- Sanskrit
- Telecom
- Sociology
- Urdu
- Vocational Subjects
HP Board Class 11 English Syllabus 2026
The HPBOSE Syllabus means the curriculum. For your Class 11 exams, you need to refer the HP Board Class 11 syllabus. Here is what you need to know.
- HP Board Class 11 class English Syllabus 2026 has been published by HPBOSE.
- The board has published the English Syllabus at hpbose.org.
- Therefore you can download the HPBOSE Class 11 English syllabus PDF from the official website and study all subjects as per it.
- Moreover one has to study all the topics from English books recommended by HPBOSE only.
If you have any queries on HP Board Class 11 English Model Paper 2026, then please ask in comments below.
Best of luck to you! May your hard work and dedication lead you to the success you deserve in your 11th class exams.
To get study material, exam alerts and news, join our Whatsapp Channel.

