JKBOSE Class 12th Model Question Paper 2026 for History has been released by the J&K Board. The board provides the JKBOSE Class 12th Model Paper for all subjects, including History. Thus, the Jammu and Kashmir Board of School Education has published the JKBOSE Class 12 History Sample Paper to help students prepare for their exams. Furthermore, the JKBOSE History question paper PDF is available for Class 12th students to download and use at any time.
JKBOSE Class 12th Model Question Paper 2026 for History
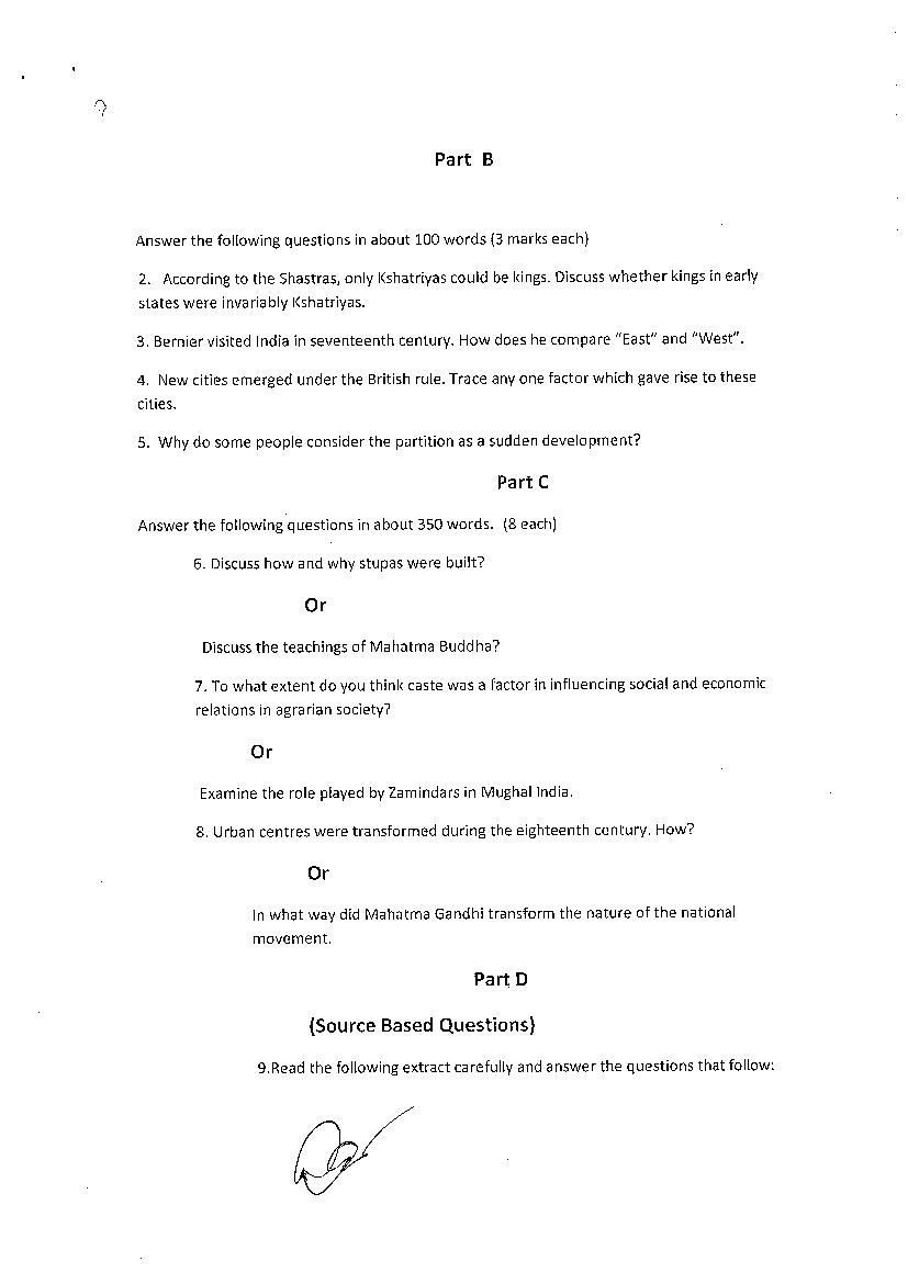
The JKBOSE Model Paper for Class 12 History contains sample questions from the latest syllabus. It helps you get an idea of what to expect in History question paper when you appear in 12th standard exams.
JKBOSE Class 12th Model Question Paper for History Download Link – Click Here to Download History SQP PDF
JKBOSE Class 12th Model Question Paper 2026 for History PDF
The PDF file for the latest available model paper for Jammu & kashmir board school exams for 12th History subject is as follows.
Please note that if you see old year in model test paper, it means there is no change in pattern and same model paper is valid for 2026 also.
JKBOSE 12th Class Model Paper History View Download


JKBOSE Class 12th Model Papers
Here are all the JKBOSE Class 12 Model Question Papers for Arts, Science, Commerce Students.
- Accounting
- Applied Maths
- Arabic
- Bhoti
- Bio Chemistry
- Biotechnlogy
- Botany
- Buddhist Studies
- Business Mathematics
- Business Studies
- Chemistry
- Clothing For Family
- Computer Science
- Dogri
- Economics
- Education
- Electronics
- English Functional
- English General
- English Literature
- Entrepreneurship
- Environmental Science
- Extension Education
- Geography
- Geology
- Hindi
- History
- Home Science
- Human Development
- Informatics Practices
- Islamic Studies
- Kashmiri
- Mathematics
- Music
- Persian
- Philosophy
- Physical Education
- Physics
- Political Science
- Psychology
- Public Administration
- Punjabi
- Sanskrit
- Sociology
- Statistics
- Tourism And Hotel Management
- Type Writing And Shorthand
- Urdu
- Vedic Studies
- Zoology
JKBOSE Model Papers
Besides, there are JKBOSE Model Papers for all classes, as follows.
- JKBOSE 4th Model Paper
- JKBOSE 5th Model Paper
- JKBOSE 6th Model Paper
- JKBOSE 7th Model Paper
- JKBOSE 8th Model Paper
- JKBOSE 9th Model Paper
- JKBOSE 10th Model Paper
- JKBOSE 11th Model Paper
- JKBOSE 12th Model Paper
JKBOSE Class 12th History Model Paper 2026 – An Overview
Some highlights about this study material are as follows.
| Aspects | Details |
|---|---|
| State | Jammu and Kashmir |
| Education Board | JKBOSE |
| Class | Class 12 |
| All Sample Papers for JK Board Class 12 | JKBOSE Class 12 Sample Papers |
| All JK Board Sample Papers | JKBOSE Sample Papers |
| Syllabus | J&K Board Syllabus |
| Question Papers | JKBOSE PYQP |
JKBOSE Class 12th History Syllabus
- The Jammu and Kashmir Board of School Education has published the syllabus of Class 12 History at jkbose.nic.in.
- Also solve the JKBOSE Class 12th History Sample Question Paper before taking the test.
- Your History marks will be announced in JKBOSE 12th Class Result.
If you have any queries on JKBOSE Class 12th Model Question Paper 2026 for History , then please ask in comments below.
To get study material, exam alerts and news, join our Whatsapp Channel.
