JKBOSE Class 11th Syllabus 2025 is released by JKBOSE. If you are studying in JKBOSE board, then you can download the Jammu and Kashmir Board Syllabus for Class 11 PDF from here on aglasem to know what to study. This Jammu Kashmir board syllabus indicates subject-wise topics and chapters recommended by Jammu and Kashmir Board of School Education for class 11 students. Therefore study all chapters as per Jammu Kashmir class 11 syllabus to complete your curriculum of all subjects and do well in exams.
JKBOSE Class 11th Syllabus 2025
The Jammu and Kashmir Board Syllabus for Class 11 is the list of subjects, and their topics included by Jammu and Kashmir Board of School Education (JKBOSE) for class 11 course of study. The JKBOSE Class 11th Syllabus is as follows. However keep checking jkbose.nic.in for any changes in curriculum of Jammu Kashmir board.
JKBOSE Class 11th Syllabus 2025 PDF Download – Click Here to Download Syllabus PDF
Also note that JKBOSE sometimes does not publish class 11 syllabus for a particular year. In this case, the old Jammu Kashmir board syllabus for class 11 remains valid. However if Jammu and Kashmir Board of School Education publishes class 11 revised syllabus in any year, then in that session, the new JKBOSE Class 11th Syllabus is used.
JKBOSE Class 11th Syllabus 2025 PDF
The entire curriculum is as follows.
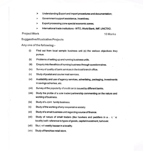
JKBOSE Class 11 Syllabus 2025 View Download

























































































































































































Jammu Kashmir Board Syllabus
Whereas you can easily download Jammu and Kashmir Board Syllabus for Class 11 here on this page. You may bee looking for other class curriculum for Jammu Kashmir. Therefore we have provided Jammu Kashmir board syllabus for all classes here as follows.
- Class 1 Syllabus
- Class 2 Syllabus
- Class 3 Syllabus
- Class 4 Syllabus
- Class 5 Syllabus
- Class 6 Syllabus
- Class 7 Syllabus
- Class 8 Syllabus
- Class 9 Syllabus
- Class 10 Syllabus
- Class 11 Syllabus
- Class 12 Syllabus
JKBOSE Class 11th Syllabus 2025 – An Overview
The key highlights of the curriculum are as follows.
| Aspects | Details |
|---|---|
| Name of Education Board | JKBOSE |
| Class | Class 11 |
| Study Material Here for This Board and Class | Syllabus |
| State | Jammu Kashmir |
| All Syllabus of JKBOSE | Jammu Kashmir Board Syllabus |
| Official Website | jkbose.nic.in |
| More Details of JKBOSE | Jammu Kashmir Board |
If you have any queries on JKBOSE Class 11th Syllabus 2025, then please ask in comments below.
To get study material, exam alerts and news, join our Whatsapp Channel.
