Karnataka 2nd PUC Computer Science Preparatory Question Paper 2026 is available after exam. You can download the Computer Science question paper PDF of 2nd PUC State Level Preparatory 2026 exam to know which questions were asked in the test. This Karnataka 2nd PUC Preparatory Exam Question Paper helps you prepare confidently for Computer Science subject in the preparatory exam, and the class 12 final board exam.
Karnataka 2nd PUC Computer Science Preparatory Question Paper 2026
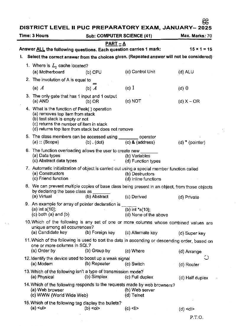
The Karnataka question paper for 2nd PUC Class 12 Preparatory Exam for Computer Science is as follows.
Karnataka 2nd PUC Computer Science Preparatory Question Paper 2026 (Preparatory Examination 1, 2, 3) – Will be available after exam
Karnataka 2nd PUC Computer Science Preparatory Question Paper 2025 – Click Here to download Question Paper PDF
Karnataka 2nd PUC Computer Science Preparatory Question Paper 2024 – Click Here to download Question Paper PDF
Karnataka 2nd PUC Computer Science Preparatory Question Paper 2022 – Click Here to download Question Paper PDF
Karnataka 2nd PUC Computer Science Preparatory Question Paper 2026 PDF
The question paper for 2nd PUC preparatory exam of 2026 shall be available once exam ends. In the meantime you can prepare for this test with the previous year’s Computer Science question paper given below.
Karnataka 2PUC Preparatory Exam Question Paper 2025 Computer Science View Download

Karnataka 2nd PUC Preparatory Exam Question Papers
All class 12 students have to appear in more subjects besides Computer Science. So to do well in the Karnataka 2nd PUC preparatory, you must download and prepare for all subjects. You can easily download all the 2nd PUC preparatory exam previous year question papers at aglasem.com from the links below.
- Accountancy
- Business Studies
- Chemistry
- Computer Science
- Economics
- Hindi
- History
- Kannada
- Maths
- Physics
- Sanskrit
Karnataka 2nd PUC Preparatory Exam
The Karnataka State Board holds the preparatory exam for 2nd PUC, i.e. class 12 students so that they are well-prepared for the final / annual board examinations. You can explore more resources of the state level preparatory exam here at aglasem.
- Karnataka Board SSLC Preparatory Model Question Papers
- Karnataka SSLC Preparatory Exam Question Paper
- Karnataka 2nd PUC Preparatory Exam Question Paper
Karnataka Board Exam Question Papers
Besides preparatory test, you can download more Karnataka board question papers.
- Karnataka Board SSLC Question Papers
- Karnataka SSLC Preparatory Exam Question Paper
- Karnataka 2nd PUC Preparatory Exam Question Paper
- Karnataka Board 1st PUC Previous Year Question Papers
- Karnataka Board 2nd PUC Previous Year Question Papers
- Karnataka 2nd PUC Mid Term Question Paper
Mid Term Question Papers
- Karnataka SSLC Mid Term Question Paper
- Karnataka 1st PUC Mid Term Question Paper
- Karnataka 2nd PUC Mid Term Question Paper
2nd PUC Preparatory Computer Science Exam
If you are a student of the Karnataka board, in class 12th, then here are some important things you should know about the 2nd PUC Preparatory Computer Science Exam at district, taluka, state level:
- First of all, the KSEAB (Karnataka School Examination and Assessment Board) holds the state level 2nd PUC Preparatory for all subjects, including Computer Science.
- Moreover, the board sets the Computer Science question paper in the preparatory exam at the state level.
- To do well in this Computer Science exam, you should download and solve the Karnataka 2nd PUC Preparatory Model Question Paper of Computer Science.
- You will also find 2nd PUC Computer Science preparatory question paper answer key and solutions of model papers, and actual exam, by Computer Science teachers and experts.
- All these resources are important to get full marks in Karnataka board class 12 Computer Science exam.
Karnataka 2nd PUC Computer Science Preparatory Question Paper – An Overview
Here are some important details of this study material.
| Aspects | Details |
|---|---|
| State | Karnataka |
| Class | Class 12th / 2nd PUC |
| Subject | Computer Science |
| Exam | Preparatory Exam |
| Exam Year | 2026 |
| Study Material Here | Karnataka Board Question Paper of 2nd PUC Computer Science Preparatory Exam 2025 |
| More Papers of This Exam | Karnataka Board Question Paper of 2nd PUC Preparatory Exam |
| Education Board | KSEAB |
| More Papers of This Board | Karnataka Board Question Papers |
| Further Details of This Board | Karnataka Board |
| Class 12 Syllabus | Karnataka 2nd PUC Syllabus |
| Class 12 Board Exam Sample Papers | Karnataka 2nd PUC Model Question Paper |
| Class 12 Board Exam Question Papers | Karnataka Board 2nd PUC Question Papers |
| 12th Class Board Exam Dates | Karnataka 2nd PUC Time Table |
If you have any queries on Karnataka 2nd PUC Computer Science Preparatory Question Paper 2026 then please ask in comments below.
To get study material, exam alerts and news, join our Whatsapp Channel.
