Karnataka State Board SSLC Science Question Bank is available for download in PDF format. Simply click the download option to save the file. We recommend that students solve the provided Science question bank to improve their exam scores and plan their preparation strategies effectively.
Karnataka SSLC Science Question Bank
Here are the links for downloading the Science Question Bank. Candidates can utilize these karnataka 10 study resources to assess their current performance levels and identify areas for improvement. This will assist students in recognizing their strengths and weaknesses, contributing to more effective learning.
Class 10 Science Question Bank Download Link – Click Here to Download Science Question Bank PDF
Karnataka 10th Class Science Question Bank PDF
Karnataka SSLC Question Bank for Science View Download

































































































































The Karnataka 10th Class Question Bank serves as a valuable resource for students preparing for their 10 examinations. It offers a comprehensive collection of questions and exercises designed to enhance their subject knowledge and examination readiness. You can also check Karnataka Board Sample Papers and Karnataka Board Previous Year Question Papers for better preparation.
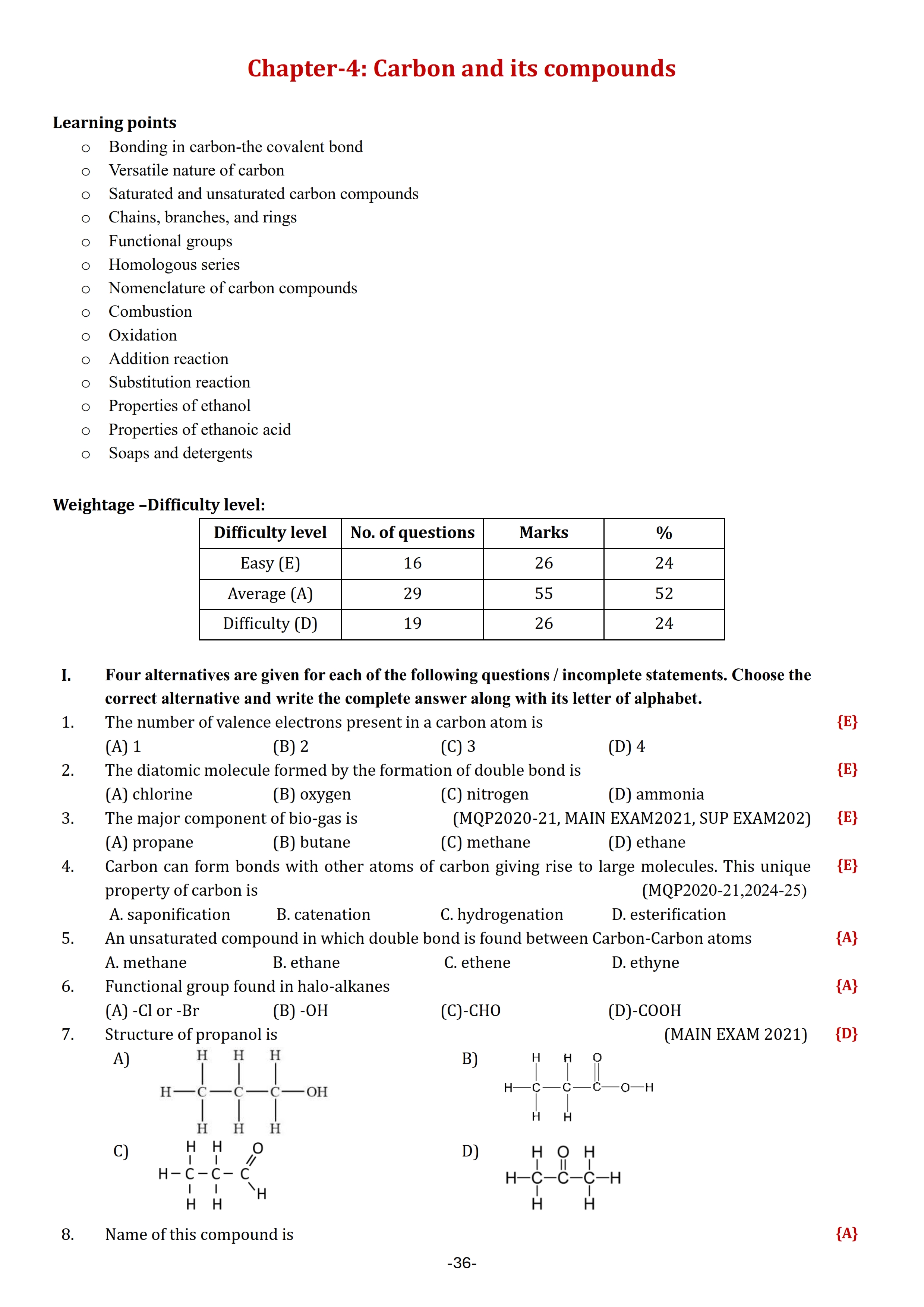
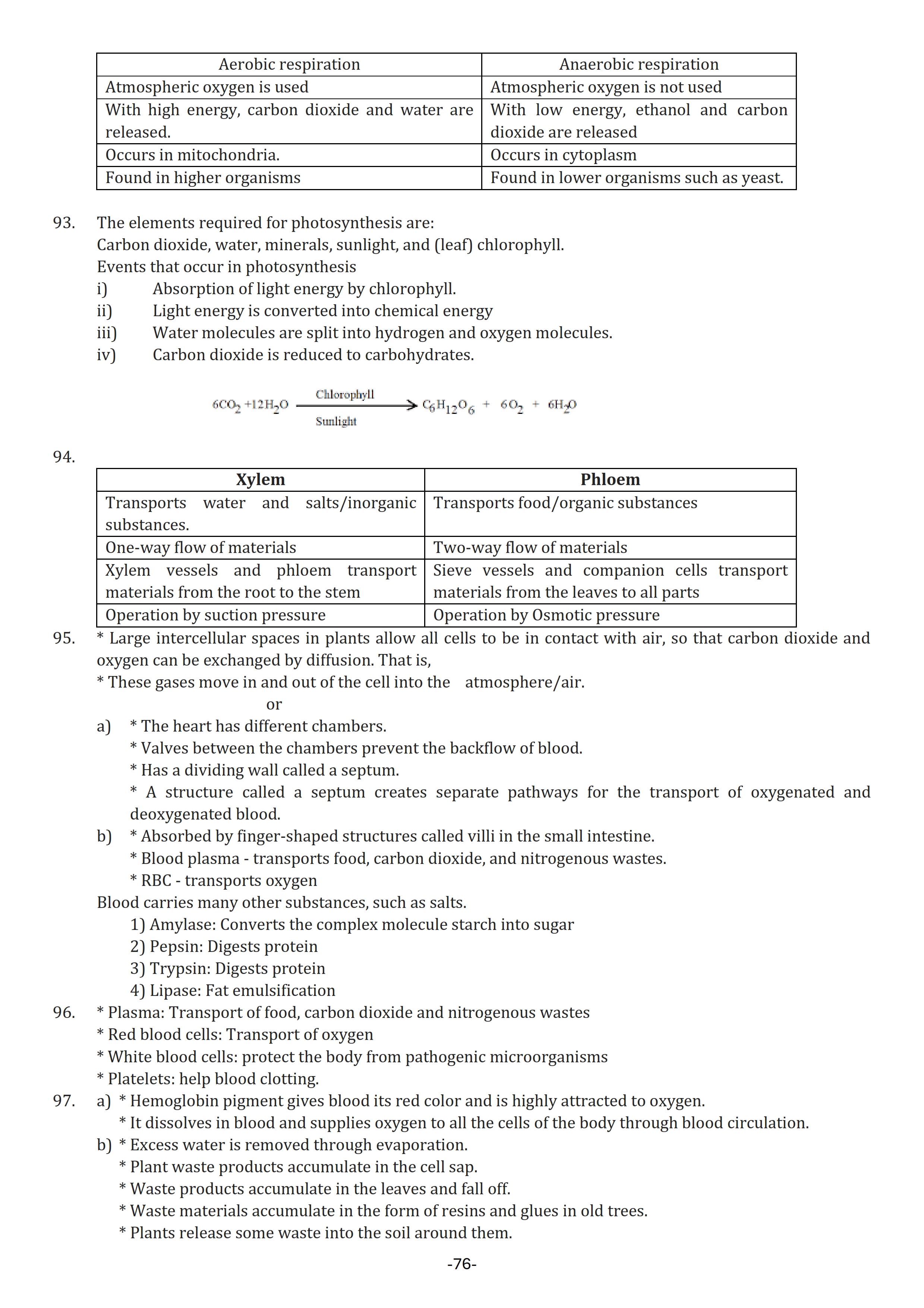
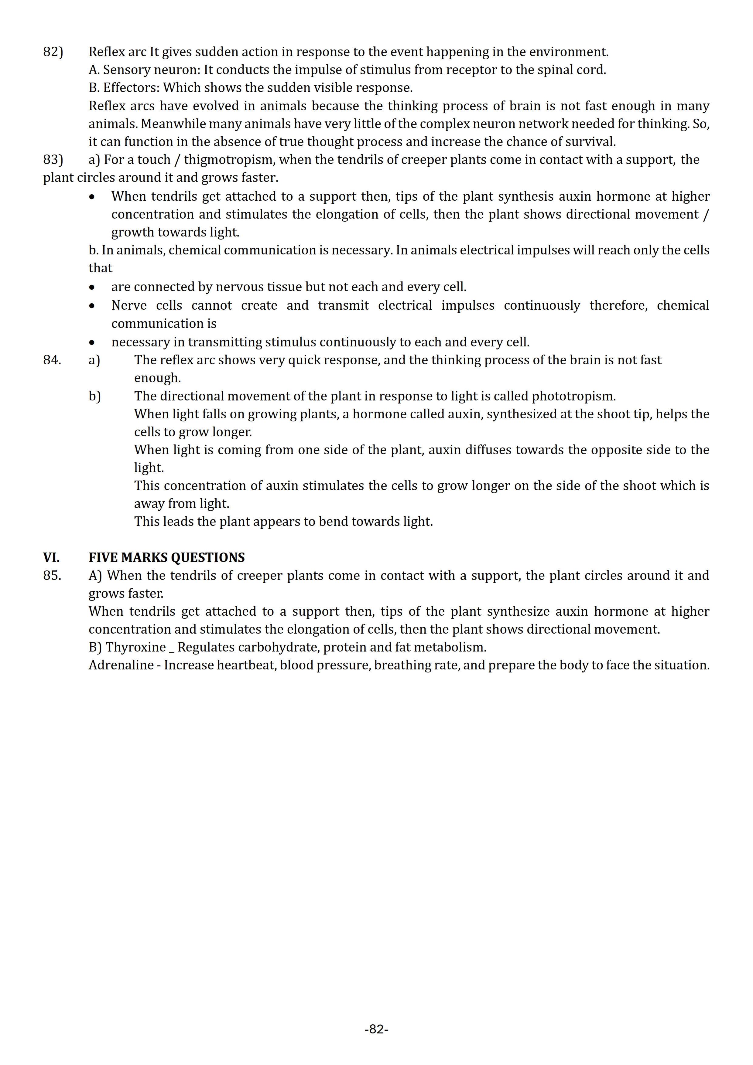
More Karnataka State Board Question Banks
By utilizing this question bank, students can assess their understanding of various topics, identify areas that require further attention, and fine-tune their preparation strategies to achieve academic excellence in the upcoming examinations.
If you are looking for other class question banks please refer to links given below.
In conclusion, the Karnataka State Board SSLC Science Question Bank is an essential tool for every student aiming for success in their examinations. By consistently practicing with the provided questions, students will not only solidify their understanding but also build confidence in their abilities. Remember, preparation is key to academic achievement, so make the most of these resources and approach your studies with dedication. Best of luck in your upcoming exams!
To get study material, exam alerts and news, join our Whatsapp Channel.

