Class 12 Accountancy Onam Exam Question Paper 2026 is published after exam. You can download the Kerala Std 12 First Term Accountancy Question Paper PDF from here on aglasem. The latest and previous year question paper of Onam Exam for class 12 Accountancy helps you prepare for the upcoming first term Accountancy test. And after studying with this Kerala Syllabus Plus Two Accountancy Question Paper, you can download Onam Exam Question Paper for Class 12 for other subjects as well.
Class 12 Accountancy Onam Exam Question Paper 2026
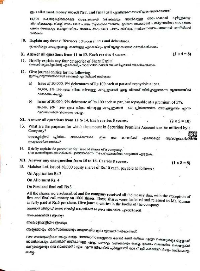
This is the Onam Exam Question Paper for Plus Two Accountancy. Kerala Syllabus 12th Standard Question Paper for First Term Onam Exam for Accountancy subject is as follows.
Class 12 Accountancy Onam Exam Question Paper 2025-26 Click Here to Download Question Paper PDF
Class 12 Accountancy Onam Exam Question Paper 2024-25 Click Here to Download Question Paper PDF
Class 12 Accountancy Onam Exam Question Paper 2023-24 Click Here to Download Question Paper PDF
More Onam Exam Previous Year Question Papers- Click Here to Download Question Paper PDF
Class 12 Accountancy Onam Exam Question Paper 2026 PDF
The complete question paper is as follows.
The latest available previous year Question Paper is given below.
Kerala Class 12 First Term Question Paper 2025 Accountancy AFS View Download




Kerala Std 12 First Term Accountancy Question Paper with Answer Keys
- Just after the exam you must be looking for Class 12 Accountancy Onam Exam Question Paper 2026 with Answer Key.
- The Kerala Plus Two First Term Accountancy Answer Key contains answers of all questions asked in the test.
- Many 12th standard teachers of Kerala Board publish Kerala Syllabus 12th Standard Question Papers and Answers for Accountancy.
- Therefore you can obtain the Onam Exam Question Paper 2026 with Answer Key for Class 12 Accountancy directly from teachers or their social media channels.
Kerala Class 12 First Term Onam Exam Question Papers
If you are in class 12, then you must be appearing in Plus Two Onam Examination for many subjects in addition to Accountancy. So here are the Onam Exam Question Paper of Class 12 for all subjects.
- Accountancy with AFS
- Accountancy with CA
- Arabic
- Biology
- Business Studies
- Chemistry
- Computer Application
- Computer Science
- Economics
- English
- English Communicative
- Gandhian Studies
- Geography
- Hindi
- History
- Islamic History
- Malayalam
- Mathematics
- Physics
- Philosophy
- Politic Science
- Psychology
- Sanskrit
- Social Work
- Sociology
- Statistics
- Urdu
Kerala First Term Onam Exam Question Papers
The Kerala Board schools hold Onam (First Term) exams for all classes. Here are class wise question papers of the same.
- Class 1 Onam Exam Question Papers
- Class 2 Onam Exam Question Papers
- Class 3 Onam Exam Question Papers
- Class 4 Onam Exam Question Papers
- Class 5 Onam Exam Question Papers
- Class 6 Onam Exam Question Papers
- Class 7 Onam Exam Question Papers
- Class 8 Onam Exam Question Papers
- Class 9 Onam Exam Question Papers
- Class 10 Onam Exam Question Papers
- Class 11 Onam Exam Question Papers
- Class 12 Onam Exam Question Papers
Kerala Board Question Papers
Similarly, here are all previous year question papers of the Kerala Board Annual Exam.
- Kerala Class 5 Question Papers
- Kerala Class 6 Question Papers
- Kerala Class 7 Question Papers
- Kerala Class 8 Question Papers
- Kerala Class 9 Question Papers
- Kerala SSLC Question Papers
- Kerala Plus One Question Papers
- Kerala Plus Two Question Papers
Class 12 Accountancy Onam Exam Question Paper – An Overview
Key highlights of this preparation guide material are as follows.
| Aspects | Details |
|---|---|
| State | Kerala |
| Class | Class 12 / Std 12 / Plus Two |
| Subject | Accountancy |
| Examination | First Terminal Exam or Onam Exam |
| Paper Here | Kerala Class 12 First Terminal Exam Accountancy Question Paper |
| All Previous Year Question Papers of This Class | Kerala Class 12 First Term Onam Exam Question Paper |
| All Previous Year Question Papers of This Exam | Onam Exam Question Paper |
| PYQP of This State | Kerala Board Previous Year Question Papers |
| More Study Material of This Board | Kerala Board |
If you have any queries on Class 12 Accountancy Onam Exam Question Paper 2026, then please ask in comments below.
To get study material, exam alerts and news, join our Whatsapp Channel.
