Kerala Class 5 Basic Science Question Paper 2025 is available for download here. This Kerala Class 5 question paper is for Basic Science. It contains the exact questions asked in class 5 Basic Science exam held by KBPE last year. Therefore by solving this Basic Science question paper, you can sharpen your preparation and aim to score full marks in class 5 Basic Science exam.
Kerala Class 5 Basic Science Question Paper 2025
The Kerala Syllabus Question Papers for class 5th Class 5 Basic Science is as follows.
Kerala Class 5 Basic Science Question Paper 2025 Download Link – Click Here to Download Question Paper PDF
Kerala Class 5 Basic Science Question Paper 2024 Download Link – Click Here to Download Question Paper PDF
Kerala Class 5 Basic Science Question Paper 2023 Download Link – Click Here to Download Question Paper PDF
Kerala Class 5 Basic Science Question Paper 2025 PDF
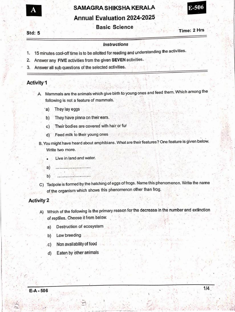
The complete question paper is as follows.
Kerala Class 5th Question Paper 2025 Basic Science View Download









Kerala Class 5 Previous Year Question Papers
The Kerala syllabus 5th standard question papers for all subjects are as follows.
- Arabic
- Basic Science
- English
- Health and Physical Education, Art Education, Work Education
- Hindi
- Malayalam I
- Malayalam II
- Maths
- Social Science
- Urdu
Kerala Board Exams Previous Year Question Papers
You can also explore the Kerala Syllabus Previous Question Papers for other standards.
- Kerala Class 5 Question Papers
- Kerala Class 6 Question Papers
- Kerala Class 7 Question Papers
- Kerala Class 8 Question Papers
- Kerala Class 9 Question Papers
- Kerala SSLC Question Papers
- Kerala Plus One Question Papers
- Kerala Plus Two Question Papers
Kerala Syllabus 5th Standard Basic Science Solutions Guide
Apart from Basic Science question paper, students often search for Basic Science solutions. Here are some important points.
- Teachers and Basic Science experts publish Kerala Syllabus Class 5 5th Standard Basic Science Solutions Guide PDF which you can download in English and Kannada medium.
- The KSEAB Class 5 Basic Science Solutions contain questions and answers of all chapter-wise exercises of SCERT Kerala class 5 Basic Science textbook.
- Therefore you can complete the Kerala Class 5 Basic Science syllabus with the solutions guide and then solve Kerala Class 5 Basic Science model paper, previous year paper, question pool to prepare for Basic Science test.
Kerala Class 5 Basic Science Question Paper – An Overview
The important things to know about this study material are as follows.
| Aspects | Details |
|---|---|
| State | Kerala |
| Class | Class 5 / Class 5 |
| Subject | Basic Science |
| Exam Year | 2025 |
| Educational Resource Here | Kerala Syllabus Previous Question Papers Class 5 Basic Science |
| More Papers of This Class | Kerala Syllabus Previous Question Papers Class 5 |
| Education Board | KBPE (Kerala Board Of Public Examination) |
| More Papers of This Board | Kerala Syllabus Previous Question Papers |
| KBPE Class 5 Date Sheet | Kerala Class 5 Time Table |
| KBPE Class 5 Result | Kerala Class 5 Results |
| Kerala Syllabus Sample Papers | Kerala Board Class 5 Model Question Papers |
If you have any queries on Kerala Class 5 Basic Science Question Paper, then please ask in comments below.
To get study material, exam alerts and news, join our Whatsapp Channel.



