Kerala SSLC Maths Model Paper 2026 is released by DHSE Kerala, SCERT and DIETs. You can download the Kerala Board Class 10 Maths Sample Question Paper PDF to prepare for your upcoming exams. This Kerala SSLC Model Paper is for Maths subject with specimen questions from the 10th standard syllabus to give you an idea of what to expect in your test. Therefore by practising with this Maths sample paper, you can aim to score full marks in SSLC Maths exam.
Kerala SSLC Maths Model Paper 2026
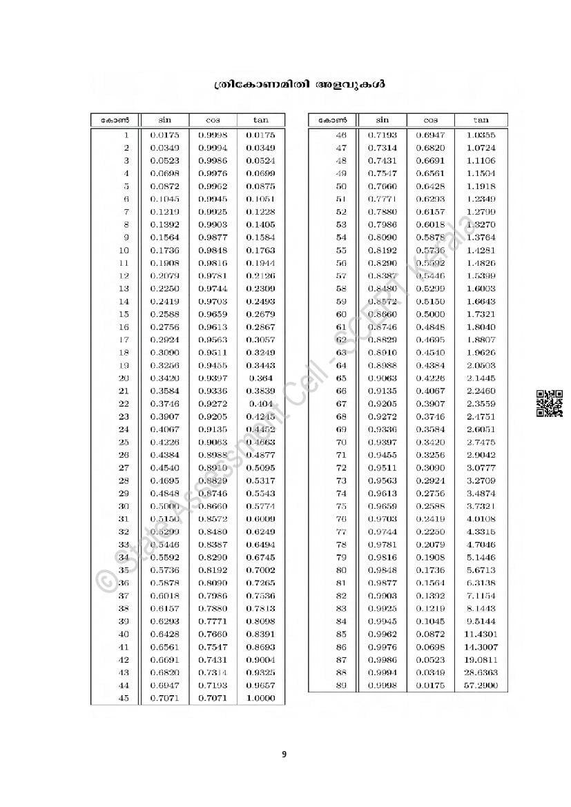
The Kerala Board Model Question Paper for class 10 SSLC Maths is as follows.
Kerala SSLC Maths Model Paper Download Link – Click Here to Download Question Paper PDF
Kerala SSLC Maths Model Paper 2026 PDF
The complete question paper is as follows.
Kerala SSLC Model Question Paper 2026 Maths View Download



































Kerala Board SSLC Sample Papers
There are several subjects in 10th standard besides Maths. Thus the Kerala board model question papers for all subjects of class 10 (SSLC) are as follows.
- Arabic
- Biology
- Chemistry
- English
- Hindi
- Kannada
- Malayalam
- Maths
- Physics
- Social Science
- Sanskrit
- Tamil
- Urdu
Class 10 Maths Kerala Board
If you want to excel in Maths subject then here is what you need to know.
- To start with refer Kerala SSLC (Class 10) Maths Syllabus to know list of topics to study.
- Now use SCERT Kerala Textbooks for Class 10 Maths to study recommended topics.
- You can also use SSLC Maths Textbook Answers to solve chapterwise questions.
- Furthermore you can use SSLC Maths Notes Chapter Wise to grasp the key fundamentals and revise.
- Also utilize SSLC Maths Chapter Wise Previous Questions and Answers to practice.
Kerala SSLC Model Question Paper Maths – An Overview
The important things to know about this educational resource are as follows.
| Aspects | Details |
|---|---|
| State | Kerala |
| Class | Class 10 / SSLC |
| Subject | Maths |
| Study Material Here | Kerala Sample Paper for Class 10 Maths |
| More Model Papers for This Class | Kerala Sample Paper for Class 10 |
| Board Name | DHSE Kerala, KBPE |
| More Model Papers for This Board | Kerala Sample Papers |
| DHSE Kerala Full Form | Kerala Department of Higher Secondary Education |
| Further Details of The Board | Kerala Board |
| Class 10 Exam Dates | Kerala SSLC Time Table |
| Class 10 Results | Kerala SSLC Result |
If you have any queries on Kerala SSLC Maths Model Paper 2026, then please ask in comments below.
To get study material, exam alerts and news, join our Whatsapp Channel.

