Maharashtra 9th Class English Question Paper 2025 has been published here by aglasem. You can now download the 9th Class English Question Paper 2025 PDF to prepare for your exam. This Maharashtra 9th Class Question Paper contains actual questions asked in English test in previous year class 9 board exams. Therefore it is a very useful study material for English subject which helps you score full marks in 9th Class exams.
Maharashtra 9th Class English Question Paper 2025
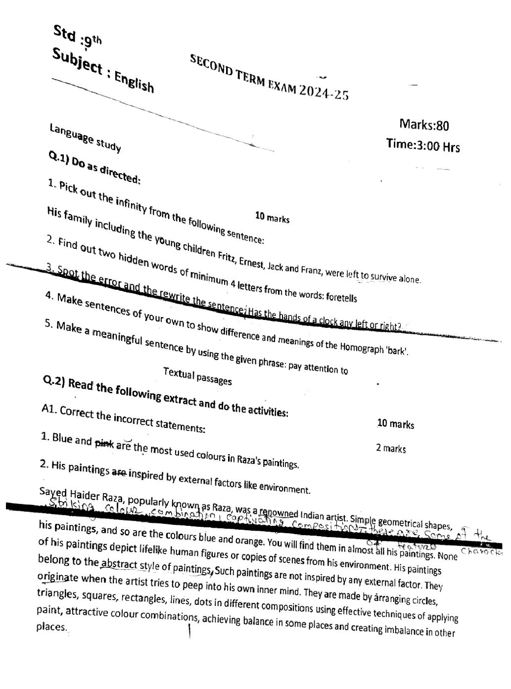
The Maharashtra Board Exam Question Paper of Class 9 9th Class English is as follows.
Maharashtra 9th Class English Question Paper 2025 Download Link – Click Here to Download Question Paper PDF
Maharashtra 9th Class English Question Paper 2024 Download Link – Click Here to Download Question Paper PDF
Maharashtra 9th Class English Question Paper 2023 Download Link – Click Here to Download Question Paper PDF
More Maharashtra 9th Class English Previous Year Question Papers Download Link – Click Here to Download Question Paper PDF
Maharashtra 9th Class English Question Paper 2025 PDF
The complete question paper is as follows.
Latest question paper is below. However all old papers download links are given above.
Maharashtra Class 9 Question Paper 2025 English (Second Term) View Download





Maharashtra 9th Class Question Papers
Besides the English question paper, you can download 9th Class question for other subjects as well. Thus the Maharashtra board class 9 question papers for all subjects are as follows.
Maharashtra Board Question Papers
Similarly the previous year question papers for all classes of Maharashtra board are as follows.
- Maharashtra Board Class 9th Question Papers
- Maharashtra Board SSC 10th Question Papers
- Maharashtra Board HSC 12th Question Papers
9th Class English
- You have to study the complete Maharashtra Board 9th Class English Syllabus as prescribed by MSBSHSE.
- Moreover you have to read the Maharashtra Board Class 9 English Textbook for this.
- You can refer to Maharashtra State Board Class 9 English Solutions or the Balbharati Solutions for Class 9 English Solutions Digest to solve chapter wise questions.
- Finally for exams, use Maharashtra Board 9th Class English question bank, sample papers, previous year papers to enhance your preparation.
Maharashtra Board Class 9 English Question Paper – An Overview
The important details of this critical study material are as follows.
| Aspects | Details |
|---|---|
| State | Maharashtra |
| Class | Std 9 / 9th Class |
| Subject | English |
| Educational Resource Here | Maharashtra Board Previous Year Question Paper of Class 9 English |
| More Question Papers of This Class | Maharashtra Board Previous Year Question Paper of Class 9 |
| Board of Education | MSBSHSE |
| More Question Papers of This Board | Maharashtra Board Previous Year Question Papers |
| MSBSHSE Full Form | Maharashtra State Board of Secondary & Higher Secondary Education |
| Exam Dates | Maharashtra 9th Class Time Table 2025 |
| Results | Maharashtra 9th Class Result 2025 |
| Std 9 Books | Maharashtra Board Class 9 Books |
| Class 9 Model Papers | 9th Class Sample Papers |
| Class 9 Syllabus | 9th Class Syllabus |
| Question Bank | Maharashtra 9th Class Question Bank |
If you have any queries on Maharashtra 9th Class English Question Paper 2025, then please ask in comments below.
To get study material, exam alerts and news, join our Whatsapp Channel.
