COHSEM Manipur Class 12 Computer Science Sample Paper 2026 is released based on syllabus and exam pattern of Council of Higher Secondary Education Manipur. You can now download the COHSEM Manipur 12th class Computer Science Model Question Paper PDF here on aglasem.com page. This COHSEM Manipur Class 12 Sample Question Paper contains specimen questions from Computer Science syllabus as per examination blueprint. Therefore by solving the Computer Science sample paper you can aim at scoring high marks in the Class 12 board exams.
COHSEM Manipur Class 12 Computer Science Sample Paper 2026
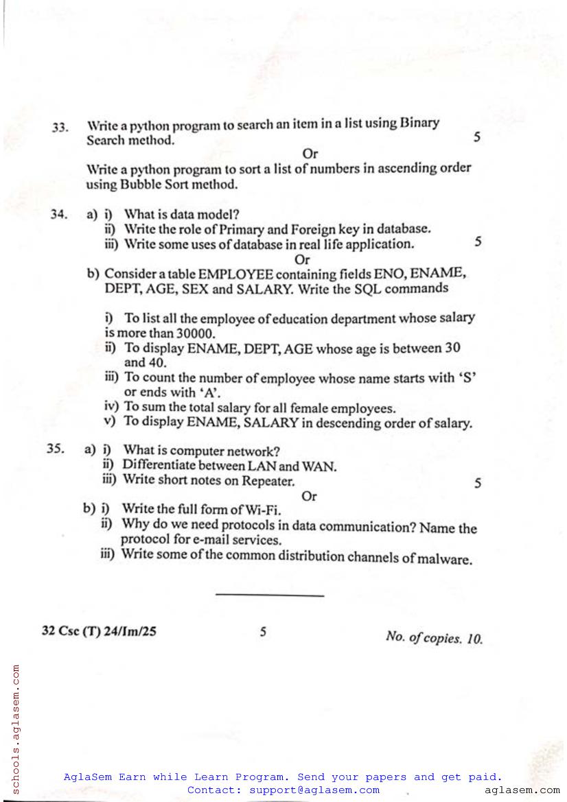
The COHSEM Manipur Sample Paper for Class 12 Computer Science is as follows.
COHSEM Manipur 12th Computer Science Sample Paper Download Link – Click Here to Download Model Question Paper PDF
COHSEM Manipur Class 12 Computer Science Sample Paper 2026 PDF
The complete paper is as follows.
Manipur Class 12 Sample Paper Computer Science View Download







COHSEM Manipur Class 12 Sample Papers
All the model question papers for COHSEM Manipur Class 12th are as follows.
- Accountancy
- Biology
- Business Studies
- Chemistry
- Computer Science
- Economics
- Education
- English
- English Alternative
- Geography
- Hindi
- History
- Manipuri
- Maths
- Physics
- Political Science
- Sociology
COHSEM Manipur Model Question Papers
Likewise the class wise specimen papers for COHSEM Manipur education board are as follows.
COHSEM Manipur Class 12 Computer Science
If you want to do well in Computer Science subject, then here are some things you should know.
- You have to cover the COHSEM Manipur Class 12 Computer Science Syllabus for your exams.
- In order to read the chapters, you should refer COHSEM Manipur Class 12 Computer Science TextBook.
- You can also use Textbook Solutions For Class 12 Computer Science COHSEM Manipur to prepare back chapter questions.
- Finally to sharpen your preparation, solve COHSEM Manipur Sample Paper of Computer Science for Class 12.
COHSEM Manipur Class 12 Computer Science Sample Paper – An Overview
The key details of this study material are as follows.
| Aspects | Details |
|---|---|
| State | COHSEM Manipur |
| Class | Class 12th / Class 12 |
| Subject | Computer Science |
| Educational Resource Here | COHSEM Manipur Sample Paper for Class 12 Computer Science |
| More Model Papers of This Class | COHSEM Manipur Sample Paper for Class 12 |
| Education Board | COHSEM Manipur |
| More Model Papers of This Board | COHSEM Manipur Sample Paper |
| Previous year Question Papers | Previous Year Question Papers |
| Board Full Form | Council of Higher Secondary Education Manipur |
| More Details of This Board | COHSEM Manipur |
| Syllabus | COHSEM Manipur Syllabus for Class 12 |
If you have any queries on COHSEM Manipur Class 12 Computer Science Sample Paper 2026, then please ask in comments below.
To get study material, exam alerts and news, join our Whatsapp Channel.

