MBOSE SSLC Science Sample Question Paper 2026 has been released by MBOSE. You can download the Meghalaya 10th Science Sample Paper PDF from here on Aglasem. This Meghalaya Board Class 10th Sample Paper includes specimen questions from the latest Science syllabus, following a format similar to what you will encounter in the actual SSLC exams. By practicing with the Science Sample question paper, you can enhance your exam preparation and aim for 100% marks in class 10 exams of Meghalaya Board of School Education.
MBOSE SSLC Science Sample Question Paper 2026
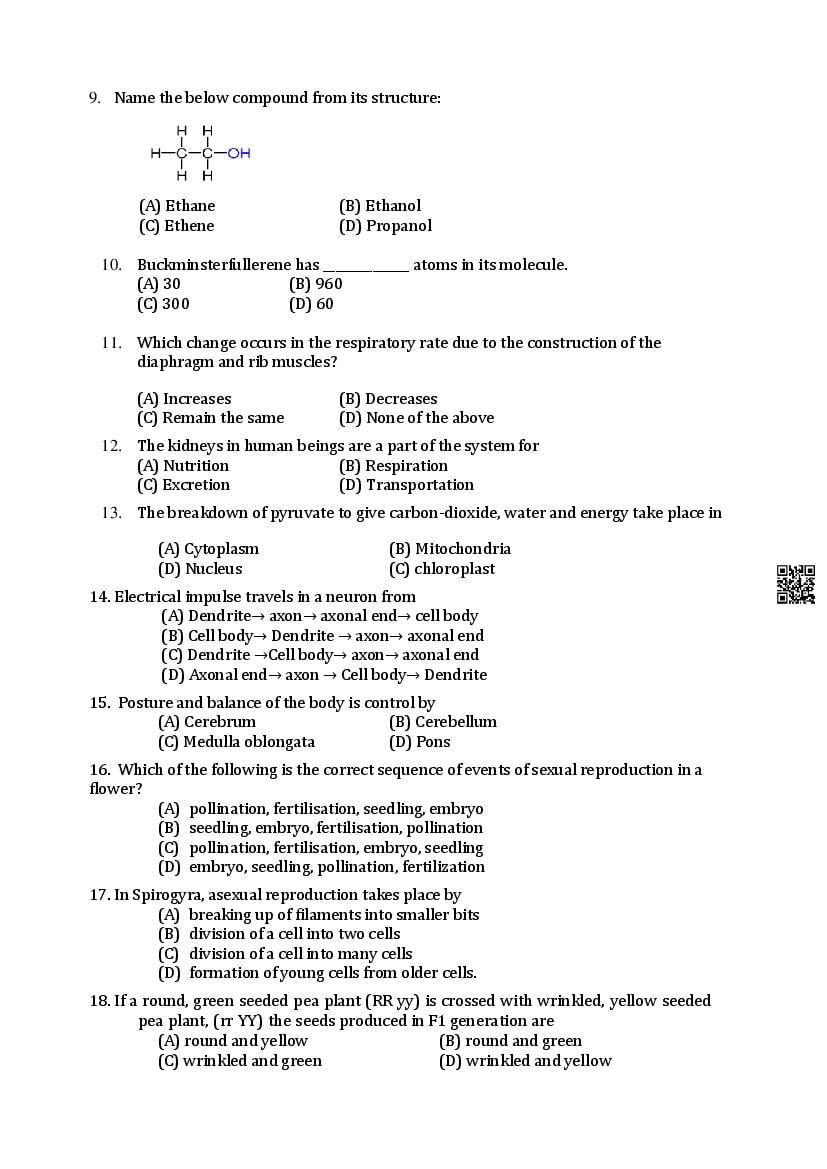
The MBOSE Sample Question Paper 2026 for SSLC (Class 10) Science is as follows.
MBOSE SSLC Science Sample Question Paper Download Link – Click Here to Download Model Question Paper
At aglasem.com you can get more Meghalaya Board Class 10 Study Material
MBOSE SSLC Science Sample Question Paper 2026 PDF
The latest released complete specimen paper is as follows.
MBOSE Class 10 Sample Question Paper Science View Download








Are you looking for MBOSE SSLC Science Sample Question Paper 2026 with Solutions? While you can easily solve the class 10 sample papers with the MBOSE textbook of SSLC Science, if you need further help, you can explore solved Science papers from coaching centers. Or comment below, and we will help you out.
Meghalaya Board Class 10th Sample Paper
The sample question papers for all subjects for Meghalaya students in SSLC standard are as follows.
Meghalaya Board Model Question Papers
Similarly the class wise Sample question papers for Meghalaya board are as follows.
- Class 6 Sample Question Papers
- Class 7 Sample Question Papers
- Class 8 Sample Question Papers
- Class 9 Sample Question Papers
- Class 10 Sample Question Papers
- Class 11 Sample Question Papers
- Class 12 Sample Question Papers
Meghalaya Board SSLC Science
- MBOSE SSLC Science Syllabus – Refer to the Meghalaya Board Class 10 Syllabus for Science as prescribed by the Meghalaya Board of School Education.
- MBOSE SSLC Science Textbook PDF – Additionally, review the topics from the Meghalaya Board Textbook for class SSLC Science.
- MBOSE SSLC Solutions for Science – If you encounter any difficult questions while solving the Science book, you can refer to the Meghalaya Board Solutions.
- MBOSE SSLC Science Question Papers – Upon completing the Science curriculum, practice with the Meghalaya Board SSLC previous year question papers to understand what to expect in the exam.
Meghalaya 10th Science Sample Paper – An Overview
The highlights of this educational resource are as follows.
| Aspects | Details |
|---|---|
| State / Region / Board | Meghalaya |
| Board | MBOSE |
| Class | Class 10 |
| Subject | Science |
| Study Material Here | Meghalaya Board Model Question Paper of Class 10 |
| More Model Papers for This Class | Meghalaya Board Sample Question Paper of Class 10 |
| All Model Question Papers of This Board | Meghalaya Board Model Question Papers |
| Official Website | mbose.in |
| MBOSE Full Form | Meghalaya Board of School Education |
| Date Sheet | MBOSE SSLC Time Table |
| Board Exam Results | MBOSE SSLC Result |
| Syllabus | MBOSE SSLC Syllabus |
| All Details of This Board | Meghalaya Board |
If you have any queries on MBOSE SSLC Science Sample Question Paper 2026, then please ask in comments below.
To get study material, exam alerts and news, join our Whatsapp Channel.

