MBSE HSLC Question Papers 2022 have been published by Mizoram Board of School Education. You can download the Mizoram Board Class Question Paper 2022 PDF for all subjects from here on aglasem. These are the actual MBSE HSLC Question Papers of the board exams held in 2022. Therefore by solving these Class question papers of 2022, you can prepare well for upcoming exams.
MBSE HSLC Question Papers 2022
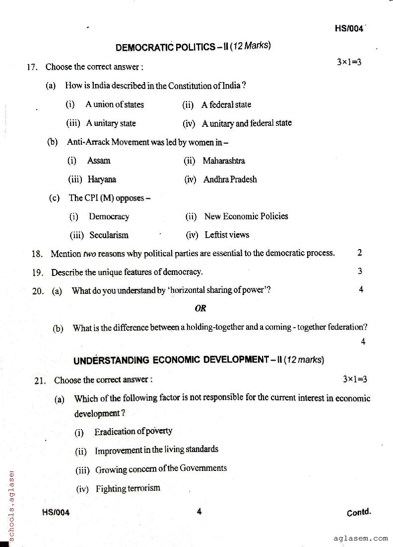
The Mizoram Board Question Paper of Class (HSLC) for 2022 are as follows.
MBSE HSLC Question Papers 2022 PDF [All Subjects] – Click Here to Download Question Paper PDF
MBSE HSLC Question Papers 2022 PDF
The question papers of Mizoram Board Class exams held in the year 2022 are as follows.
Mizoram Board Class 10 Question Paper 2022 All Subjects View Download





MBSE HSLC Previous Year Question Papers
You can download more past year papers of Mizoram Board Class exams. Here they are:
When preparing for the MBSE Class exams, a strategic approach can significantly enhance your performance. Incorporating mbse question papers, mbse sample papers into your study routine is invaluable, as these allow you to familiarize yourself with the exam format and types of questions you may encounter. Additionally, understanding the mbse syllabus is crucial; it provides a comprehensive outline of the topics covered in your curriculum, ensuring you allocate adequate time to each subject. By aligning your preparation with both sample papers and the official syllabus along with these previous year question papers, you can build a solid foundation, thereby boosting your confidence and competence for the upcoming exams.
- MBSE HSLC Question Papers 2021
- MBSE HSLC Question Papers 2022
- MBSE HSLC Question Papers 2023
- MBSE HSLC Question Papers 2024
- MBSE HSLC Question Papers 2025
MBSE Previous Year Question Papers
If you want the Mizoram Board question papers of other classes, then here are all the past year papers of MBSE.
MBSE HSLC Question Papers 2022 – An Overview
The important highlights of these papers are as follows.
| Aspect | Details |
|---|---|
| State | Mizoram |
| Board | MBSE |
| MBSE Full Form | Mizoram Board of School Education |
| Class | Class (HSLC) |
| Year of Exam | 2022 |
| Resource Here | MBSE Previous Year Question Paper of Class (HSLC) of 2022 |
| All Question Papers of This Class | MBSE Previous Year Question Paper of Class |
| All Question Papers of This Board | Mizoram Board Previous Year Question Papers |
| More About This Board | Mizoram Board |
If you have any queries on MBSE HSLC Question Papers 2022, then please ask in comments below.
To get study material, exam alerts and news, join our Whatsapp Channel.


































































