The MP Board Class 12th English Trimasik Paper 2025-26 will be available for download here after the exam. The Madhya Pradesh Class 12 English Quarterly Exam Question Paper PDF includes the actual questions from the trimasik pariksha (त्रैमासिक परीक्षा / quarterly exams) conducted for students in the 12th standard by MPBSE (Madhya Pradesh Board of Secondary Education). By utilizing the MP Board Class 12th Trimasik Paper, you can enhance your preparation for the upcoming quarterly exam and strive to achieve high marks in the English paper.
MP Board Class 12th English Trimasik Paper 2026
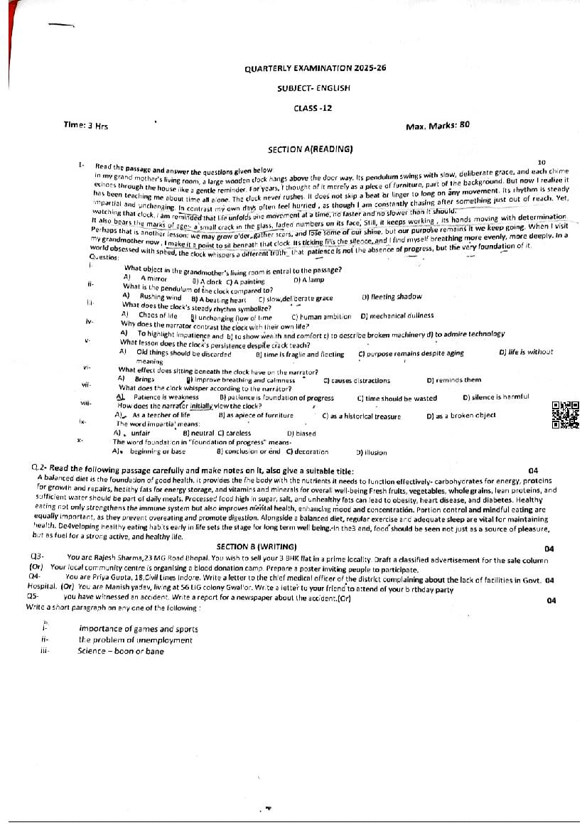
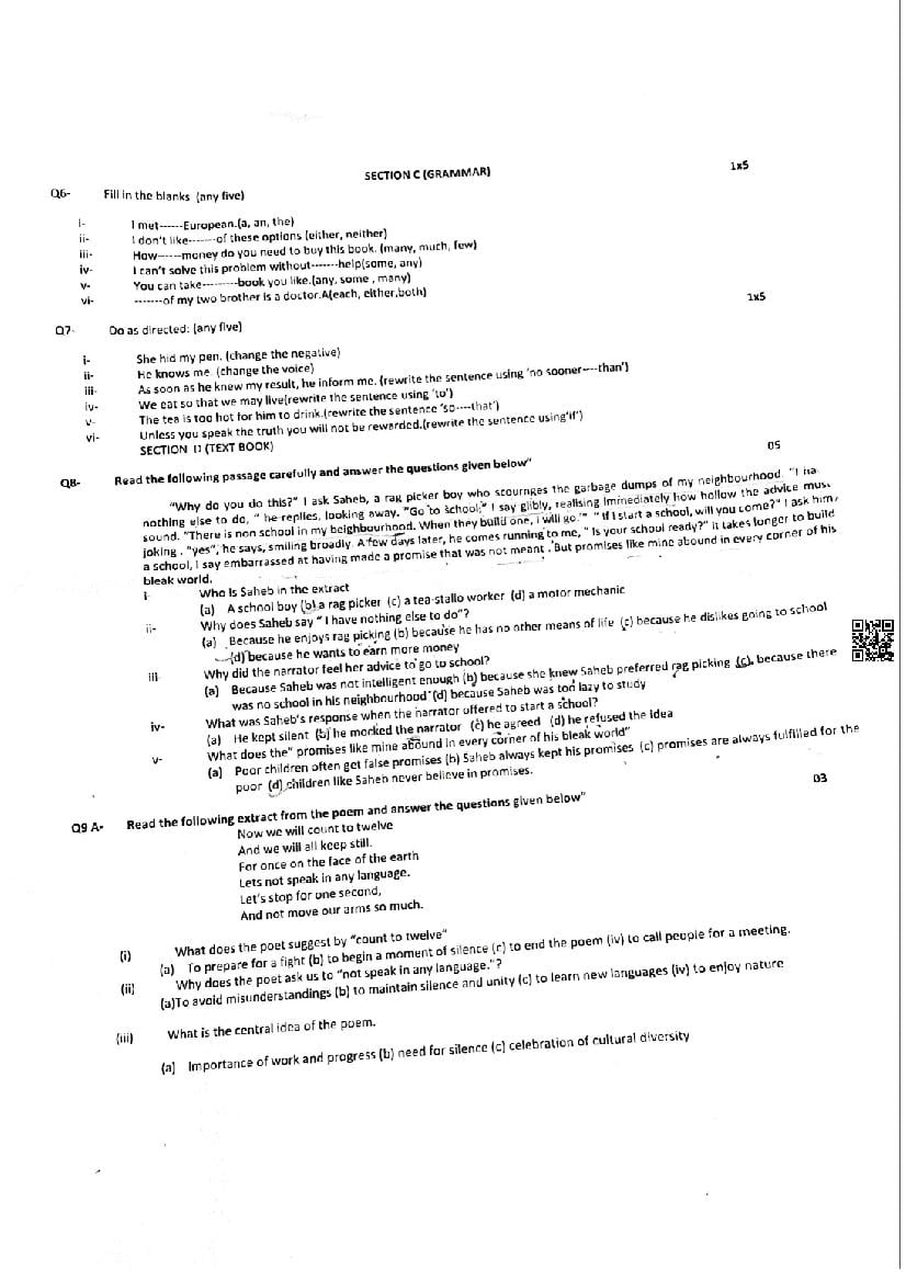
The MP Board Question Paper of class 12 Trimasik Exam for English subject is as follows.
MP Board Class 12th English Trimasik Paper 2025-26 PDF – Click Here to Download Question Paper
MP Board Class 12th English Trimasik Paper 2024-25 PDF – Click Here to Download Question Paper
MP Board Class 12th English Trimasik Paper 2022-23 PDF – Click Here to Download Question Paper
MP Board Class 12th English Trimasik Paper 2026 PDF
It is a good idea to download the class 12 English question paper from aglasem, using above link. However if you want to read all the questions in 12th standard trimasik pariksha for English, then you can also view the complete English question paper here itself. The entire contents of the trimasik pariksha question paper for class 12 English are as follows.
The latest available mp board quarterly examination question paper is as follows
MP Board Class 12 Quarterly Question Paper 2025 English View Download




Class 12 Trimasik Pariksha Question Paper
After solving the trimasik pariksha paper of English, you can download the quarterly exam question papers for all subjects of class 12.
- Accountancy
- Biology
- Business Studies
- Chemistry
- Economics
- English
- Geography
- Hindi
- History
- Maths
- Physics
- Sanskrit
- Sociology
Trimasik Pariksha Question Papers
Similarly you can download the question papers of quarterly exams for all classes, as follows.
MP Board Question Papers
And likewise you can download the question papers for all exams held in MPBSE.
Exam Wise Question Papers
- MP Board Trimaski / Quarterly Exam Question Papers
- MP Board Ardhvaarshik / Half-Yearly Exam Question Papers
Class 12 English Trimasik Pariksha Question Paper – An Overview
Some highlights of this English test paper are as follows.
| Aspects | Details |
|---|---|
| State | Madhya Pradesh |
| Class | Class 12 |
| Subject | English |
| Exam | Trimasik Pariksha (त्रैमासिक परीक्षा / Quarterly Exams) |
| Paper | Madhya Pradesh Class 12 English Trimasik Pariksha Question Paper |
| All Papers for This Test | Class 12 Trimasik Pariksha Question Paper |
| More Papers of MPBSE | MP Board Previous Year Question Paper |
| Name of Board | MPBSE |
| Full Name | Madhya Pradesh Board of Secondary Education |
| Exam Dates | MP Board Class 12th Time Table |
| Results | MPBSE Class 12th Result |
| Question Paper Blueprint | MP Board Class 12th Question Paper Blueprint |
| Syllabus | MPBSE Class 12 Syllabus |
| Sample Papers | MP Board Class 12th Model Paper |
If you have any queries about MP Board Class 12th English Trimasik Paper 2026, then please ask in comments below. And if you found it useful, then please share it with your friends!
To get study material, exam alerts and news, join our Whatsapp Channel.
