RD Sharma Solutions for Class 10 Quadratic Equations Exercise 4.6 are here. In these RD Sharma Solutions, you can see answers and step-by-step process to solve all exercise 4.6 questions from latest RD Sharma edition. Moreover you can download the RD Sharma Class 10 Chapter 4 Ex 4.6 Solutions PDF to refer them anytime. If you find any difficulty in solving ex 4.6 then you can use this segment of RD Sharma Class 10 Quadratic Equations Solutions to resolve your doubts and score high in maths exam.
RD Sharma Solutions for Class 10 Quadratic Equations Exercise 4.6
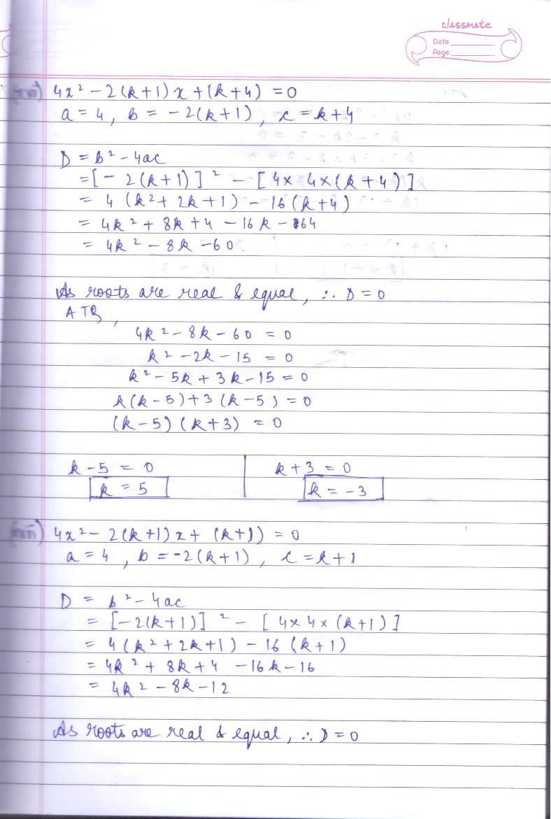
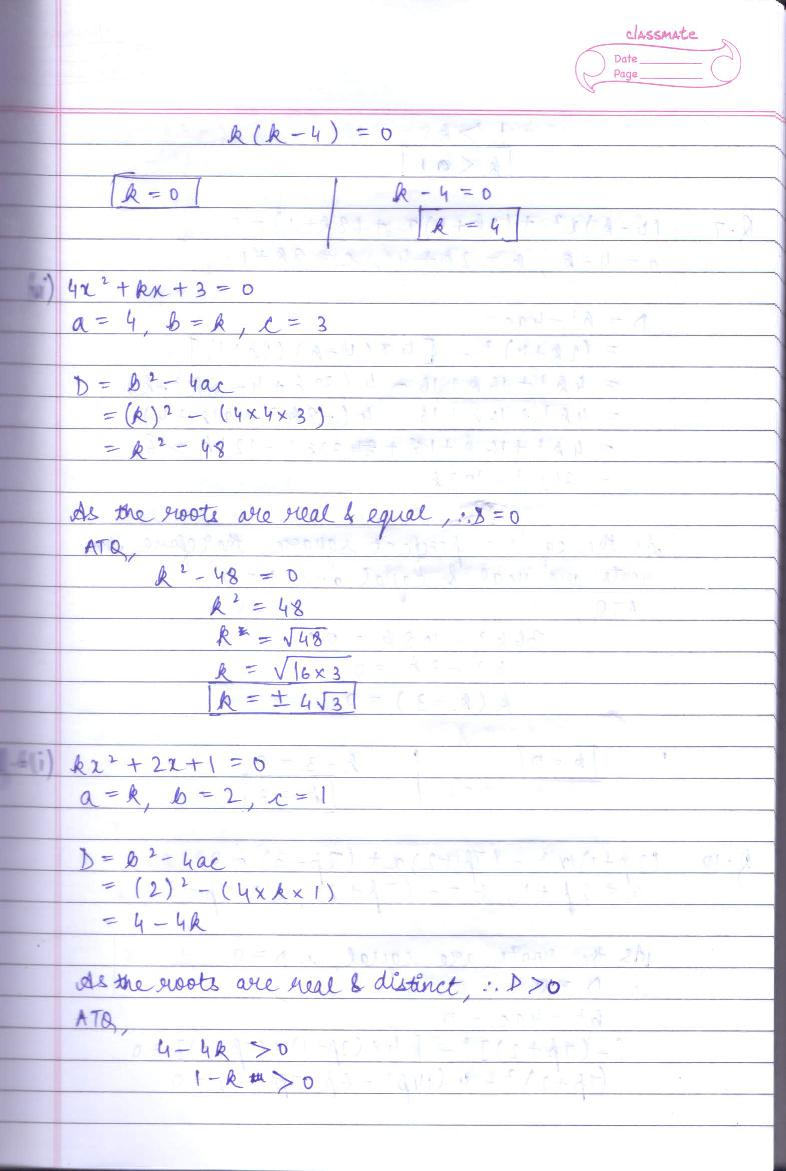
The exercise 4.6 questions answers are as follows. This is a part of the RD Sharma Solutions for Class 10.
RD Sharma Solutions for Class 10 Quadratic Equations Exercise 4.6 PDF Download Link – Click Here to Download Solutions PDF
RD Sharma Class 10 Quadratic Equations Ex 4.6 Solutions PDF
The portable document format of the solutions are as follows.
RD Sharma Solutions Class 10 Chapter 4 Quadratic Equations Exercise 4.6 View Download



























RD Sharma Class 10 Ch 4 Quadratic Equations Solutions
There is one exercise or MCQ section after each key topic of Quadratic Equations. You should solve all exercises besides Ch 4 Ex 4.6 to understand the topics properly. Hence the exercise solutions of Quadratic Equations are as follows.
- Ch 4 Ex 4.1
- Ch 4 Ex 4.2
- Ch 4 Ex 4.3
- Ch 4 Ex 4.4
- Ch 4 Ex 4.5
- Ch 4 Ex 4.6
- Ch 4 Ex 4.7
- Ch 4 Ex 4.8
- Ch 4 Ex 4.9
- Ch 4 Ex 4.10
- Ch 4 Ex 4.11
- Ch 4 Ex 4.12
- Ch 4 Ex 4.13
RD Sharma Solutions for Class 10
If you are a class 10 student, then you must be studying chapters other than Ch Quadratic Equations Quadratic Equations. Therefore the chapter-wise solutions of RD Sharma Class 10 maths are as follows.
- Chapter 1 – Real Numbers
- Chapter 2 – Polynomials
- Chapter 3 – Pair Of Linear Equations In Two Variables
- Chapter 4 – Quadratic Equations
- Chapter 5 – Arithmetic Progressions
- Chapter 6 – Coordinate Geometry
- Chapter 7 – Triangles
- Chapter 8 – Circles
- Chapter 9 – Constructions
- Chapter 10 – Trigonometric Ratios
- Chapter 11 – Trigonometric Identities
- Chapter 12 – Some Applications of Trigonometry
- Chapter 13 – Areas Related to Circles
- Chapter 14 – Surface Area & Volumes
- Chapter 15 – Statistics
- Chapter 16 – Probability
RD Sharma Solutions
The class wise solved questions answers of RD Sharma maths books are as follows.
RD Sharma Solutions for Class 10 Chapter 4 Quadratic Equations Exercise 4.6 – An Overview
The key highlights of this class 10 maths study material are as follows.
| Aspects | Details |
|---|---|
| Class | Class 10 |
| Subject | Mathematics / Maths |
| Book | RD Sharma |
| Chapter Number | Chapter 4 |
| Name of Chapter | Quadratic Equations |
| Exercise Number | Ex 4.6 |
| Study Material Here | RD Sharma Class 10 Maths Chapter 4 Quadratic Equations Ex 4.6 Solutions |
| RD Sharma Solutions of This Complete Chapter | RD Sharma Class 10 Chapter 4 Quadratic Equations Solutions |
| RD Sharma Solutions of All Chapters of This Class | RD Sharma Class 10 Solutions |
| All RD Sharma Solutions | RD Sharma Solutions |
If you have any queries on RD Sharma Solutions for Class 10 Quadratic Equations Exercise 4.6, then please ask in comments below.
To get study material, exam alerts and news, join our Whatsapp Channel.
