Preparing for the TBSE Class 10 English exam can be a lot easier with the right resources. One of the most effective tools for exam preparation is practicing with TBSE Madhyamik Previous Year Question Papers. These papers help students understand the exam pattern, marking scheme, and types of questions asked in the 10th examination. Here, we provide the TBSE Class 10 English Question Paper 2024 in PDF format to aid your preparation.
TBSE Class 10 Question Paper 2024
To help students achieve better results, we have provided the TBSE Madhyamik English Question Paper here at aglasem.com. This question paper can be downloaded in PDF format for offline practice.
Tripura Board Class 10 English Question Paper 2024 PDF Download Link – Click Here to Download Question Paper PDF
TBSE Class 10 English Question Paper 2024 PDF
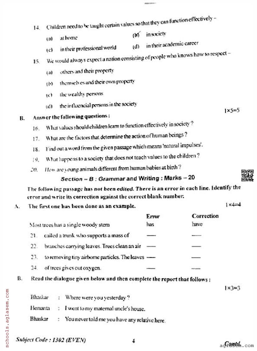
The complete question paper is as follows.
TBSE Class 10 Question Paper 2024 English View Download









How to Use the TBSE Class 10 English Question Paper
- Download the question paper using the link provided above.
- Set aside a dedicated time to solve the paper without any interruptions.
- Treat it as a mock test and simulate exam conditions.
- After completing the paper, compare your answers with your textbook or guide for self-evaluation.
Tripura Board Class 10 Previous Year Question Papers
You need to study more subjects in 10th standard besides English. So here are subject wise previous year question papers for Tripura Board class 10.
Tripura Board Previous Year Question Papers
Similarly the class wise past year papers of Tripura Board are as follows.
Additional Resources for TBSE Class 10 Students
To complement your preparation, we recommend the following resources:
- TBSE Class 10 Sample Papers: Model papers designed as per the latest syllabus.
- TBSE Class 10 English Syllabus: Ensure you have a clear understanding of the topics to be covered.
- Study Guides and Notes: Concise summaries and explanations to clarify your doubts.
Overview of TBSE Madhyamik English Question Paper
- Board: Tripura Board of Secondary Education (TBSE)
- Class: 10th
- Subject: English
- Year: 2024
- Type: Previous Year Question Paper
- Format: PDF
FAQs
Q1. Where can I find other subjects’ question papers for TBSE Class 10?
You can explore our collection of Madhyamik previous year question papers for all subjects on our website aglasem.com.
Q2. Is the TBSE Class 10 English Question Paper 2024 based on the latest syllabus?
Yes, the 2024 English question paper aligns with the updated syllabus issued by TBSE.
Q3. Can solving question papers improve my performance?
Absolutely! Practicing 10th class past question papers helps students gain confidence and improve their understanding of the English subject.
The TBSE Class 10 English Question Paper 2024 is a crucial resource for students aiming to excel in their board exams. Regular practice, combined with other study materials, can significantly boost your confidence and performance. Download the question paper today and get one step closer to achieving your academic goals!
To get study material, exam alerts and news, join our Whatsapp Channel.

