TN 11th Maths Second Mid Term Question Paper 2026 is available for download after exam. The Tamil Nadu Plus One Maths 2nd Mid Term Exam Question Paper PDF contains actual questions asked in last held Second mid terminal examination. Therefore while preparing for Maths exam you can solve this TN 11th Second Mid Term Question Paper to get an idea of what type of questions to expect in upcoming Maths question paper of 11th Standard 2nd Mid Term Exam.
TN 11th Maths Second Mid Term Question Paper 2026
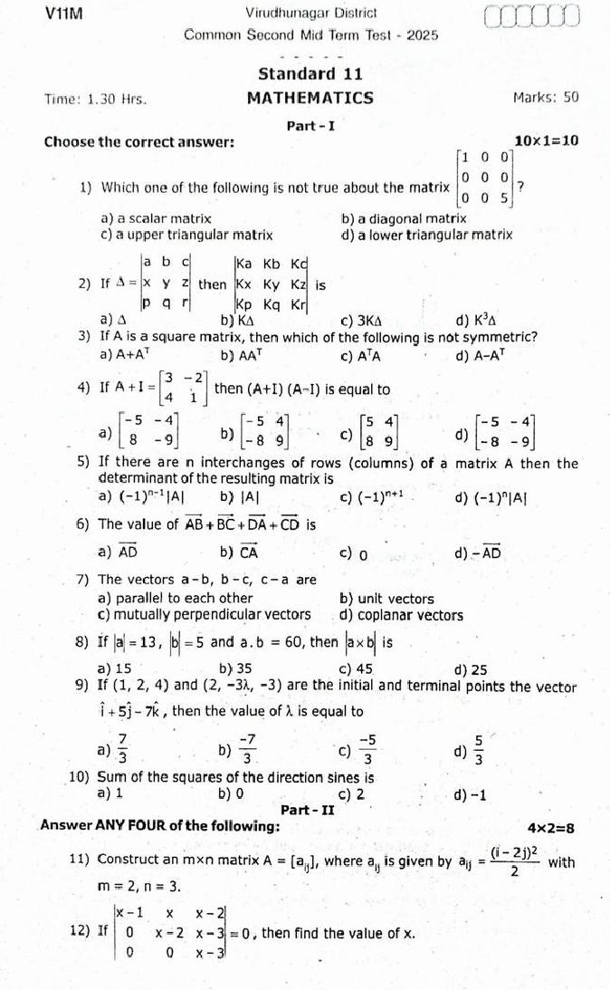
The question paper of Tamil Nadu state Second mid term examinations 2025-26 of standard 11th for Maths subject is as follows.
TN 11th Maths Second Mid Term Question Paper 2025 PDF Download Link – Click Here to Download Question Paper PDF
TN 11th Maths Second Mid Term Question Paper 2024 PDF Download Link – Click Here to Download Question Paper PDF
TN 11th Maths Second Mid Term Question Paper 2023 PDF Download Link – Click Here to Download Question Paper PDF
TN 11th Maths Second Mid Term Question Paper 2026 PDF
You can download the Tamil Nadu Plus One Maths 2nd Mid Term Exam latest available previous year Question Paper PDF to refer to it at anytime.
TN Class 11 Second Mid Term Question Paper 2025 Maths View Download





11th Standard Maths Mid-Term Exam
- Tamil Nadu Board Schools hold 2nd mid term exam of Maths subject for students of class 11.
- Therefore if you are 11th standard student with Maths as a subject then you also have to appear in TN Plus One 2nd Mid Term Maths Exam 2026.
- Study those chapters from Samacheer Kalvi 11th Maths Book, and also their answers in Samacheer Kalvi 11th Maths Book Solutions Answers Guide which are a part of Maths Second mid term examination syllabus.
Tamil Nadu Plus One 2nd Mid Term Exam Question Papers
Schools of TN Board (DGE TN) hold Second mid term exams for all subjects taught in standard 11th, including Maths. So if you are a class 11 student, then you must be looking for the 2nd mid-term examination papers for all subjects in addition to Maths. Here are all the subject-wise TN Plus One 2nd Mid Term Question Papers.
- Accountancy
- Arabic
- Biology
- Botany
- Business Maths
- Chemistry
- Commerce
- Computer Application
- Computer Science
- Economics
- English
- French
- Hindi
- History
- Maths
- Physics
- Tamil
- Zoology
- Urdu
Tamil Nadu Board Question Papers
You can get previous year question papers of all classes of TN board from aglasem.
- Tamil Nadu Board Class 8 Question Papers
- Tamil Nadu Board Class 10 Question Papers
- Tamil Nadu Board Class 11 Question Papers
- Tamil Nadu Board Class 12 Question Papers
Second Mid Term Question Papers
- 6th Second Mid Term Question Paper
- 7th Second Mid Term Question Paper
- 8th Second Mid Term Question Paper
- 9th Second Mid Term Question Paper
- 10th Second Mid Term Question Paper
- 11th Second Mid Term Question Paper
- 12th Second Mid Term Question Paper
TN 11th Maths Second Mid Term Question Paper – An Overview
The important highlights of this test preparation guide are as follows.
| Aspects | Details |
|---|---|
| State | Tamil Nadu |
| Education Board | DGE TN |
| Board Full Form | Directorate of Government Examinations |
| Class | Std 11th |
| Subject | Maths |
| Exam | 2nd Mid Term Examination |
| Exam Preparation Material Here | Tamil Nadu Std 11th Maths 2nd Mid Term Exam Question Paper |
| All Question Papers of This Exam | Tamil Nadu Std 11th 2nd Mid Term Exam Question Paper |
| More Question Papers of This State Board | Tamil Nadu Board Previous Year Question Papers |
| Complete Details of Board | TN Board |
| Sample Question Papers | TN 11th Model Papers |
If you have any queries on TN 11th Maths Second Mid Term Question Paper 2026, then please ask in comments below.
To get study material, exam alerts and news, join our Whatsapp Channel.

