TN 11th Zoology First Mid Term Question Paper 2026 is available for download after exam. The Tamil Nadu Plus One Zoology 1st Mid Term Exam Question Paper PDF contains actual questions asked in last held First mid terminal examination. Therefore while preparing for Zoology exam you can solve this TN 11th First Mid Term Question Paper to get an idea of what type of questions to expect in upcoming Zoology question paper of 11th Standard 1st Mid Term Exam.
TN 11th Zoology First Mid Term Question Paper 2026
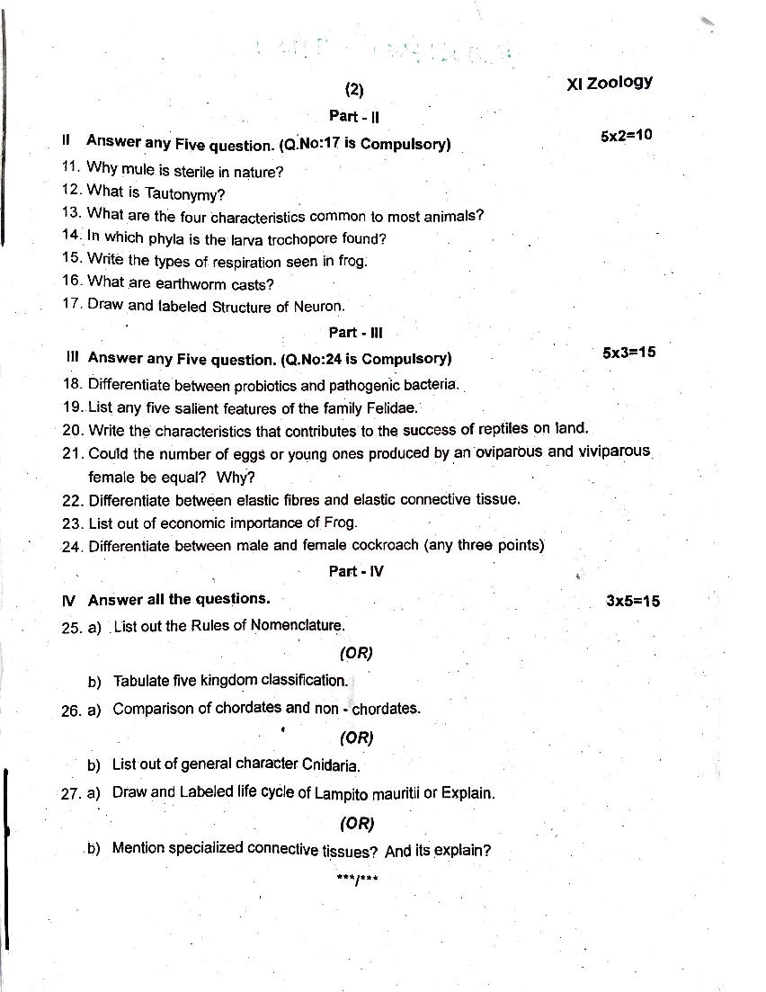
The question paper of Tamil Nadu state First mid term examinations 2025-26 of standard 11th for Zoology subject is as follows.
TN 11th Zoology First Mid Term Question Paper 2025 PDF Download Link – Click Here to Download Question Paper PDF
TN 11th Zoology First Mid Term Question Paper 2024 PDF Download Link – Click Here to Download Question Paper PDF
TN 11th Zoology First Mid Term Question Paper 2023 PDF Download Link – Click Here to Download Question Paper PDF
TN 11th Zoology First Mid Term Question Paper 2026 PDF
You can download the Tamil Nadu Plus One Zoology 1st Mid Term Exam latest available previous year Question Paper PDF to refer to it at anytime.
TN Class 11 First Mid Term Question Paper 2025 Zoology View Download





11th Standard Zoology Mid-Term Exam
- Tamil Nadu Board Schools hold 1st mid term exam of Zoology subject for students of class 11.
- Therefore if you are 11th standard student with Zoology as a subject then you also have to appear in TN Plus One 1st Mid Term Zoology Exam 2026.
- Study those chapters from Samacheer Kalvi 11th Zoology Book, and also their answers in Samacheer Kalvi 11th Zoology Book Solutions Answers Guide which are a part of Zoology First mid term examination syllabus.
Tamil Nadu Plus One 1st Mid Term Exam Question Papers
Schools of TN Board (DGE TN) hold First mid term exams for all subjects taught in standard 11th, including Zoology. So if you are a class 11 student, then you must be looking for the 1st mid-term examination papers for all subjects in addition to Zoology. Here are all the subject-wise TN Plus One 1st Mid Term Question Papers.
- Accountancy
- Biology
- Botany
- Business Maths
- Chemistry
- Commerce
- Computer Application
- Computer Science
- Economics
- English
- French
- History
- Maths
- Physics
- Tamil
- Zoology
Tamil Nadu Board Question Papers
You can get previous year question papers of all classes of TN board from aglasem.
- Tamil Nadu Board Class 8 Question Papers
- Tamil Nadu Board Class 10 Question Papers
- Tamil Nadu Board Class 11 Question Papers
- Tamil Nadu Board Class 12 Question Papers
First Mid Term Question Papers
- 6th First Mid Term Question Paper
- 7th First Mid Term Question Paper
- 8th First Mid Term Question Paper
- 9th First Mid Term Question Paper
- 10th First Mid Term Question Paper
- 11th First Mid Term Question Paper
- 12th First Mid Term Question Paper
TN 11th Zoology First Mid Term Question Paper – An Overview
The important highlights of this test preparation guide are as follows.
| Aspects | Details |
|---|---|
| State | Tamil Nadu |
| Education Board | DGE TN |
| Board Full Form | Directorate of Government Examinations |
| Class | Std 11th |
| Subject | Zoology |
| Exam | 1st Mid Term Examination |
| Exam Preparation Material Here | Tamil Nadu Std 11th Zoology 1st Mid Term Exam Question Paper |
| All Question Papers of This Exam | Tamil Nadu Std 11th 1st Mid Term Exam Question Paper |
| More Question Papers of This State Board | Tamil Nadu Board Previous Year Question Papers |
| Complete Details of Board | TN Board |
| Sample Question Papers | TN 11th Model Papers |
If you have any queries on TN 11th Zoology First Mid Term Question Paper 2026, then please ask in comments below.
To get study material, exam alerts and news, join our Whatsapp Channel.

