TN 12th Chemistry Half Yearly Question Paper 2026 is available after exam. The Tamil Nadu Board Plus Two Chemistry Half Yearly Exam Question Paper PDF is the actual test paper used for half yearly assessment in TN board exams for 12th standard. If you are preparing for the Chemistry test, then you can use this TN 12th Standard Half Yearly Exam Question Paper to get an idea of what to expect in your exam. It is an important preparation material for all students appearing for Plus Two half yearly exams, and have Chemistry as a subject.
TN 12th Chemistry Half Yearly Question Paper 2026
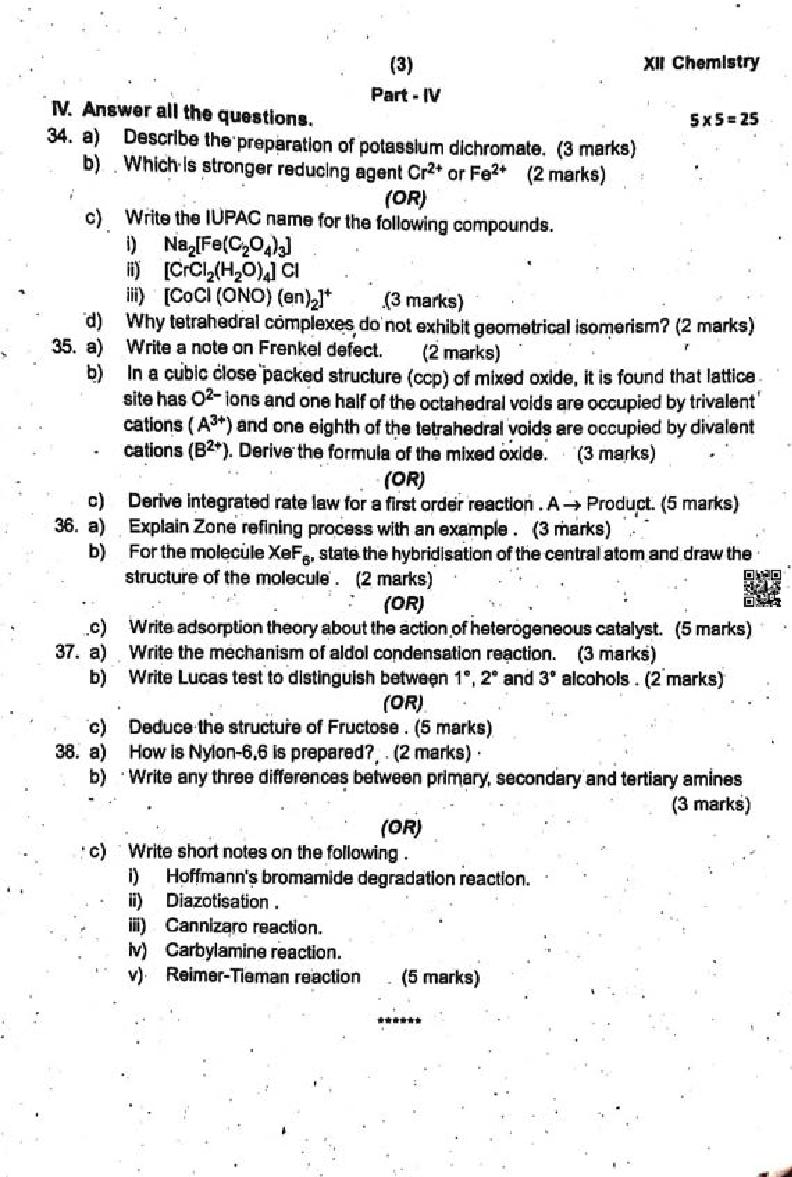
The Chemistry question paper for Tamil Nadu board standard 12th half yearly examinations is given below.
TN 12th Chemistry Half Yearly Question Paper 2025-26 PDF Download Link – Click Here to Download Question Paper PDF
TN 12th Chemistry Half Yearly Question Paper 2023-24 PDF Download Link – Click Here to Download Question Paper PDF
TN 12th Chemistry Half Yearly Question Paper 2022-23 PDF Download Link – Click Here to Download Question Paper PDF
TN 12th Chemistry Half Yearly Question Paper 2026 PDF
The complete question paper is as follows.
TN Class 12 Half Yearly Exam Question Paper 2025 Chemistry View Download









TN 12th Standard Half Yearly Exam Question Paper
There are more tests besides Chemistry in half yearly exams. Here are all the subject-wise question papers of TN Board class 12th half yearly exams at aglasem.com.
- Accountancy
- Biology
- BME
- Botany
- Business Maths
- Chemistry
- Commerce
- Computer Application
- Computer Science
- Economics
- History
- Maths
- Physics
- Zoology
TN Board Question Papers
You can download the previous year half yearly examination question papers of other classes exams of Tamil Nadu board from here on aglasem.com.
- TN 6th Standard Half Yearly Exam Question Paper
- TN 7th Standard Half Yearly Exam Question Paper
- TN 8th Standard Half Yearly Exam Question Paper
- TN 9th Standard Half Yearly Exam Question Paper
- TN 10th Standard Half Yearly Exam Question Paper
- TN 11th Standard Half Yearly Exam Question Paper
- TN 12th Standard Half Yearly Exam Question Paper
TN 12th Chemistry Half Yearly Question Paper – An Overview
The important details of this paper are as follows.
| Aspects | Details |
|---|---|
| State | Tamil Nadu |
| Class | Class 12 |
| Exam | Half Yearly Exam |
| Subject | Chemistry |
| Educational Resource Here | Tamil Nadu Half Yearly Exam Question Paper of Standard 12 Chemistry |
| All Question Papers of This Exam | TN 12th Standard Half Yearly Exam Question Paper |
| All Question Papers of This Board | Tamil Nadu Board Previous Year Question Papers |
| More Study Material of This Board | Tamil Nadu Board |
If you have any queries on TN 12th Chemistry Half Yearly Question Paper 2026, then please ask in comments below.
To get study material, exam alerts and news, join our Whatsapp Channel.
