TN 11th Maths Quarterly Exam Question Paper 2026 is published post exam. From this page of aglasem.com, you can download 11th Std Maths Quarterly Question Paper PDF. If you are in 11th std and want to check the class 11th Maths Quarterly Exam Answer Key and Solution, then you can use this TN 11th Quarterly Question Paper to match questions. Whereas if you are preparing for upcoming Maths exam, then you can use this Maths question paper as 11th Maths Quarterly Exam Model Question Paper to prepare for your test. All questions are from 11th standard Maths syllabus for First Term Summative Assessment September Exam.
TN 11th Maths Quarterly Exam Question Paper 2026
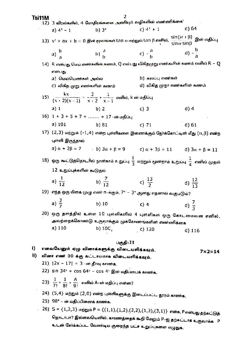
The TN Board question paper for quarterly exam of 11th standard Maths subject is as follows.
TN 11th Maths Quarterly Exam Question Paper 2026 – Coming Soon
TN 11th Maths Quarterly Exam Question Paper 2025 – Click Here to Download Question Paper
TN 11th Maths Quarterly Exam Question Paper 2023 – Click Here to Download Question Paper
TN 11th Maths Quarterly Exam Question Paper 2022 – Click Here to Download Question Paper
11th Std Maths Quarterly Exam Question Paper 2026 PDF
The direct link to download class 11 quarterly test paper of Maths is given above. However if you want to solve the Maths question paper at once, then you can see the complete std 11 first term SA exam Maths question paper PDF here itself, below. This way, you can enhance your preparation for upcoming Maths exam by studying from aglasem!
The latest available Question paper is given below.
TN Class 11 Quarterly Exam Question Paper 2025 Maths View Download









11th Quarterly Exam Question Papers
You must be appearing in the quarterly exams for multiple subjects in addition to Maths. Now to get good marks in 11th standard, you should therefore practice all question papers besides Maths too. So here are all the Tamil Nadu board class 11 quarterly exam papers.
- Accountancy
- Biology
- Botany
- Business Maths
- Chemistry
- Commerce
- Computer Application
- Computer Science
- Economics
- English
- French
- History
- Maths
- Physics
- Tamil
- Zoology
11th Maths Quarterly Exam
Some quick things to note about this test are as follows.
- First use 11th Quarterly Exam Time Table 2026 to know Maths exam date and time .
- Then thoroughly study TN 11th Maths Summative Assessment September Exam Syllabus from Samacheer Kalvi 11th Books of Maths / Tamil Nadu 11th Maths Books.
- After that use 11th Maths First Term Exam Important Questions 2026 to prepare for the test, along with 11th Maths quarterly exam model paper, and 11th Maths Quarterly Exam Original Question Paper given here on aglasem.com.
- Once exam ends, you can download 11th Maths Quarterly Question Paper and Answer Key 2026 to assess your performance.
Quarterly Exam Question Papers
If you are looking for the quarterly examination question papers for any other class, then please peruse the links below.
- TN 6th Quarterly Exam Question Papers
- TN 7th Quarterly Exam Question Papers
- TN 8th Quarterly Exam Question Papers
- TN 9th Quarterly Exam Question Papers
- TN 10th Quarterly Exam Question Papers
- TN 11th Quarterly Exam Question Papers
- TN 12th Quarterly Exam Question Papers
Tamil Nadu Exam Question Papers
There are multiple tests in TN board schools. The question papers for all exams, class wise and test wise are as follows.
Exam Wise Question Papers
- First Mid Term Question Papers
- Second Mid Term Question Papers
- Quarterly Exam Question Papers
- Half-Yearly Exam Question Papers
TN 11th Maths Summative Assessment September Exam Question Paper – An Overview
The highlights of this particular exam paper of Maths subject are as below.
| Aspects | Details |
|---|---|
| State | Tamil Nadu |
| Class | 11th Standard |
| Subject | Maths |
| Exam | Quarterly Exam |
| Paper Here | 11th Quarterly Exam Question Paper of Maths |
| All Papers of This Test | 11th Quarterly Exam Question Paper |
| TN Board Papers | Tamil Nadu Board Question Papers |
| Study Material for TN Board | Tamil Nadu Board |
| Board of Education | Directorate of Government Examinations (DGE TN) |
| Quarterly Exam Question Paper Formed By | State Assessment Cell in the State Council for Educational and Research Training (SCERT) |
If you have queries on TN 11th Maths Quarterly Exam Question Paper 2026, then please ask in comments below.
To get study material, exam alerts and news, join our Whatsapp Channel.
