TN 10th English Public Exam Question Paper 2026 is the previous year question paper of English subject. If you are preparing for Tamil Nadu board exams for SSLC standard, then you can download the 10th English Question Paper PDF to see question type, difficulty level, exam pattern. Here you will find the 10th Public Exam Question Paper for English, and you can use it with the English model paper to enhance your exam preparation.
TN 10th English Public Exam Question Paper 2026
The TN Board Previous Year Question Paper for SSLC (Class 10) English is as follows.
TN 10th English Public Exam Question Paper 2026 PDF Download Link – Link to Download 2026 Question Paper will be added here…
TN 10th English Public Exam Question Paper 2025 PDF Download Link – Click Here to Download 2025 Question Paper
TN 10th English Public Exam Question Paper 2024 PDF Download Link – Click Here to Download 2024 Question Paper
TN 10th English Public Exam Question Paper 2023 PDF Download Link – Click Here to Download 2023 Question Paper
TN 10th English Public Exam Question Paper 2022 PDF Download Link – Click Here to Download 2022 Question Paper
TN 10th English Public Exam Question Paper 2026 PDF
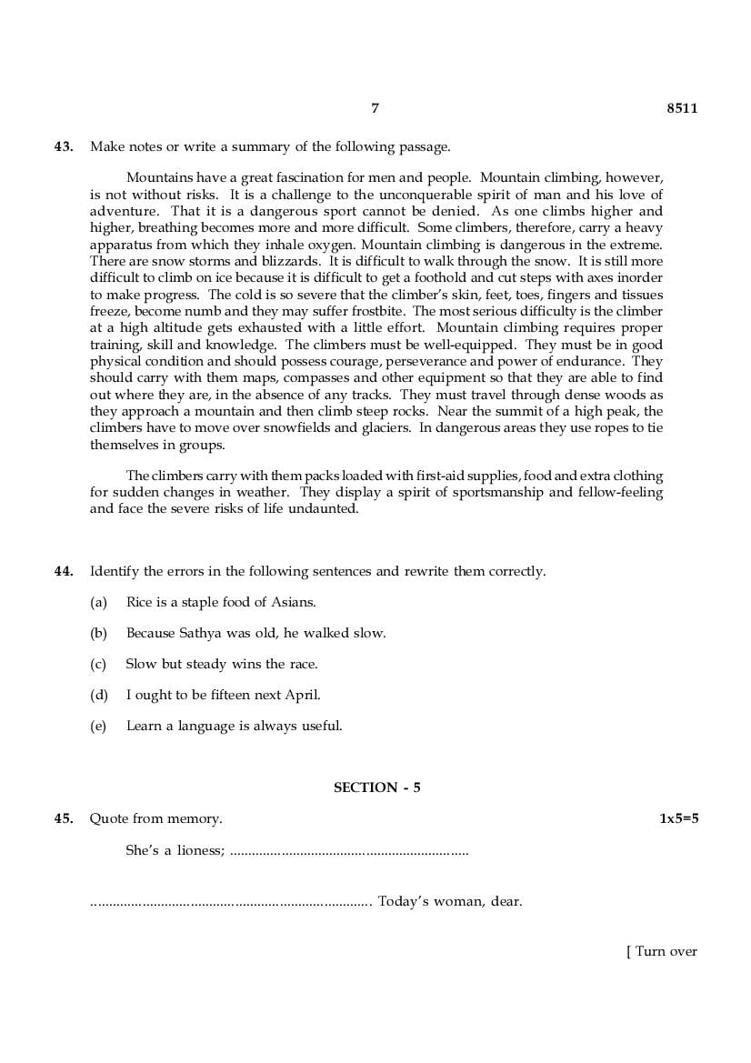
While you can easily download the TN 10th English previous year question paper from link above. Similarly you can study the complete English question paper here also. The entire SSLC question paper is as follows.
TN 10th Question Paper 2025 English View Download









Many a time students look for 10th English Question Paper with Answer Key. If you too want it, then one option is to solve the TN SSLC English question paper using Samacheer Kalvi 10th Books and Samacheer Kalvi 10th Books Solutions. However if you want line by line answers for English paper, then you can use Tamil Nadu Board class 10 English Previous Year Question Paper Answer Key by schools, and coaching centers.
Tamil Nadu SSLC Previous Year Question Papers
Are you aiming for high marks in all subjects? Then check out the past year papers of TN board class 10 exams for all subjects from here at aglasem.
- Arabic
- English
- French
- Gujarati
- Hindi
- Kannada
- Malayalam
- Maths
- Sanskrit
- Science
- Social Science
- Tamil
- Telugu
- Urdu
Tamil Nadu Board Previous Year Question Papers
The various public exam papers for TN Board exams are as follows, class wise.
TN 10th English Public Exam Question Paper – An Overview
The important key points of this study material are the following.
| Aspects | Details |
|---|---|
| State | Tamil Nadu |
| Class | Class 10 |
| Subject | English |
| Educational Resource Here | Tamil Nadu Board Previous Year Question Paper of Class 10 English |
| More Annual Exam Question Papers of This Class | Tamil Nadu Board Previous Year Question Paper of Class 10 |
| Similar Public Exam Papers Of This Board | Tamil Nadu Board Previous Year Question Papers |
| More About This Board | Tamil Nadu Board |
If you have any queries on TN 10th English Public Exam Question Paper 2026, then please ask in comments below.
To get study material, exam alerts and news, join our Whatsapp Channel.

