Here we are providing the Rajasthan Board Class 12 Maths Question Paper. With the help of these RBSE previous year question papers for Maths, students can estimate the level and pattern of questions asked by the Rajasthan Board in the upcoming board examinations. Since these papers contain actual questions from the RBSE 12th Board Exam, there is a possibility of encountering the same or similar questions in your exams. These papers will also help students score good marks, enabling them to secure admission to top universities for further studies. Here, you can download all Rajasthan Board Previous Year Question Papers for Maths.
Rajasthan Board Class 12 Maths Question Paper
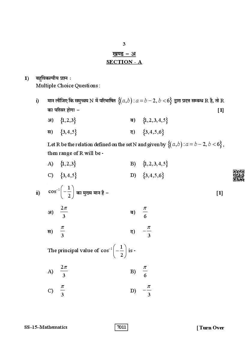
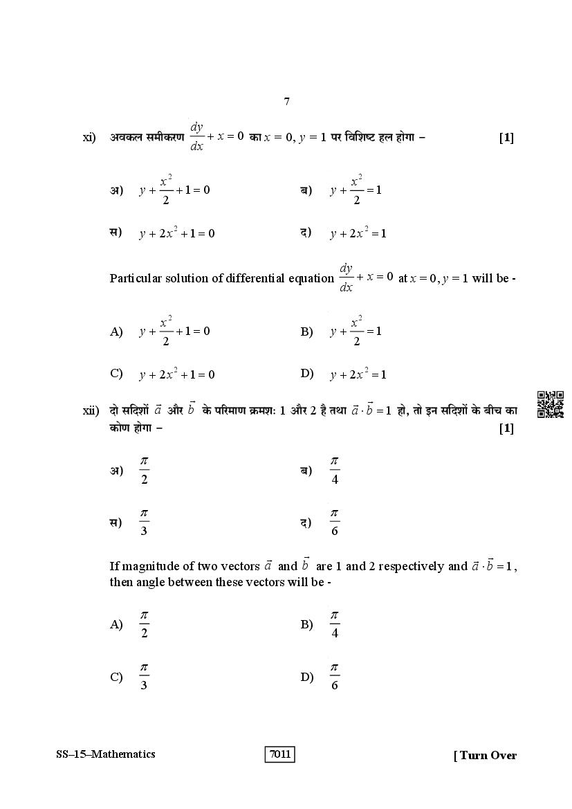
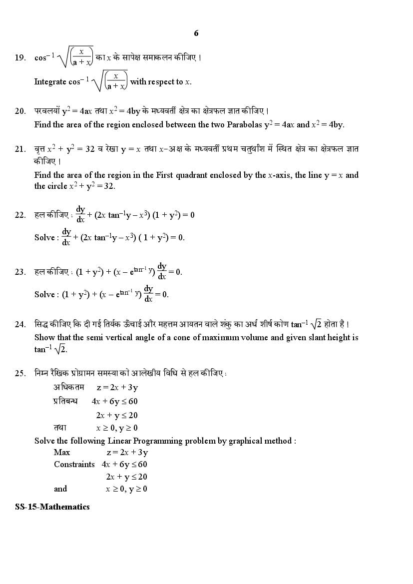
Rajasthan Board Maths Question Paperis given below.
Year: 2026, 2025, 2024, 2023, 2022, 2020 and more
Examination: 12th Board Exam
Subject: Maths
The Rajasthan Board previous year question paper for class 12 Maths is as follows.
RBSE Class 12 Maths Question Paper 2025 Download Link – Click Here to Download PDF
RBSE Class 12 Maths Question Paper 2024 Download Link – Click Here to Download PDF
RBSE Class 12 Maths Question Paper 2023 Download Link – Click Here to Download PDF
More RBSE Class 12 Maths Question Papers Download Link – Click Here to Download PDFs
You can download more RBSE class 12 previous year question papers here – Rajasthan Board {class}th class All Study Material.
Rajasthan Board Class 12 Maths Question Paper 2025
RBSE 12th Maths Question Paper 2025 PDF is given below.
Rajasthan Board Class 12 Question Paper 2025 Maths View Download





















For the sake of the candidates download links of the Rajasthan Board 12 Maths Previous Year Question Paper are given below.
| Class 12 Exam | Question Paper |
|---|---|
| 2025 | Download PDF |
| 2024 | Download PDF |
| 2023 | Download PDF |
| 2022 | Download PDF |
| 2020 | Download PDF |
| More PYQP | Download PDF |
RBSE Old Question Papers for Class 12
After studying for Maths, you can review all other 12the question papers from the links given below.
- Accountancy
- Agriculture
- Agriculture Biology
- Agriculture Chemistry
- Apparel Made Ups and Home Furnishing
- Automotive
- Beauty and Wellness
- Biology
- Business Studies
- Chemistry
- Computer Science
- Drawing
- Economics
- Electrical and Electronics
- English Compulsory
- English Literature
- Environmental Science
- Geography
- Geology
- Gujarati
- Health Care
- Hindi Compulsory
- Hindi Literature
- History
- Home Science
- Informatics Practices
- IT ITES
- Maths
- Micro Irrigation
- Music
- Philosophy
- Physical Education
- Physics
- Plumber
- Political Science
- Psychology
- Public Administration
- Punjabi
- Rajasthani
- Retail
- Sanskrit
- Shorthand
- Sindhi
- Sociology
- Stenography
- Telecom
- Travel and Tourism
- Typewriting English
- Typewriting Hindi
- Urdu
FAQs
Qs. Can I get Rajasthan Board Class 12 Maths 2023 Question Paper?
Ans. Yes, you can get the Rajasthan Board Class 12 Maths 2023 question paper here.
Qs. How was the RBSE Class 12 Maths paper?
Ans. You can read the complete Rajasthan Board Class 12 Maths question paper analysis to know how the paper was. Overall, it was as per the syllabus by Rajasthan Board. Students who completed syllabus, practiced PYQPs, could do well.
Qs. Can I download 12th Class Maths question papers with solutions?
Ans. Yes, you can download the pdf of Class 12 Maths old question papers here.
Other Classes PYQP
- RBSE Class 8 Question Papers
- RBSE Class 9 Question Papers
- RBSE Class 10 Question Papers
- RBSE Class 11 Question Papers
- RBSE Class 12 Question Papers
- Half Yearly Question Paper
If you have any queries on RBSE Question Paper, then please ask in comments below.
To get study material, exam alerts and news, join our Whatsapp Channel.


