Uttarakhand Board Class 10th Syllabus 2025-26 is released by UBSE. If you are studying in UBSE board, then you can download the UK Board Syllabus for Class 10 PDF from here on aglasem to know what to study. This Uttarakhand board syllabus indicates subject-wise topics and chapters recommended by Uttarakhand Board of Secondary Education for class 10 students. Therefore study all chapters as per Uttarakhand class 10 syllabus to complete your curriculum of all subjects and do well in exams.
Uttarakhand Board Class 10th Syllabus 2025-26
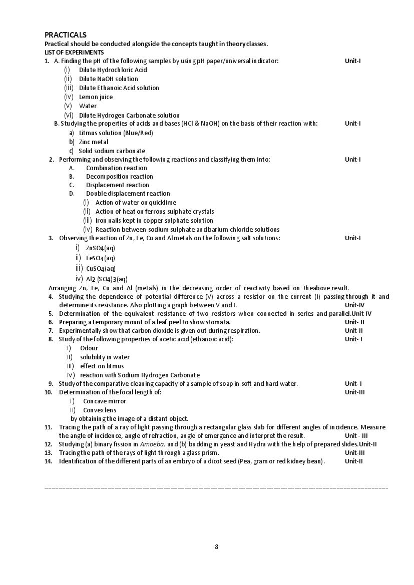
The UK Board Syllabus for Class 10 is the list of subjects, and their topics included by Uttarakhand Board of Secondary Education (UBSE) for class 10 course of study. The Uttarakhand Board Class 10th Syllabus is as follows. However keep checking ubse.uk.gov.in for any changes in curriculum of Uttarakhand board.
Uttarakhand Board Class 10th Syllabus 2025-26 PDF Download – Click Here to Download Syllabus PDF
Also note that UBSE sometimes does not publish class 10 syllabus for a particular year. In this case, the old Uttarakhand board syllabus for class 10 remains valid. However if Uttarakhand Board of Secondary Education publishes class 10 revised syllabus in any year, then in that session, the new Uttarakhand Board Class 10th Syllabus is used.
Uttarakhand Board Class 10th Syllabus 2025-26 PDF
The entire curriculum is as follows.
Uttarakhand Board High School Syllabus 2026 Class 9 & Class 10 View Download




























































































Uttarakhand Board Syllabus
Whereas you can easily download UK Board Syllabus for Class 10 here on this page. You may bee looking for other class curriculum for Uttarakhand. Therefore we have provided Uttarakhand board syllabus for all classes here as follows.
- Uttarakhand Board Class 9th Syllabus
- Uttarakhand Board Class 10th Syllabus
- Uttarakhand Board Class 11th Syllabus
- Uttarakhand Board Class 12th Syllabus
Uttarakhand Board Class 10th Syllabus 2025-26 – An Overview
The key highlights of the curriculum are as follows.
| Aspects | Details |
|---|---|
| Name of Education Board | UBSE |
| Class | Class 10 |
| Study Material Here for This Board and Class | Syllabus |
| State | Uttarakhand |
| All Syllabus of UBSE | Uttarakhand Board Syllabus |
| Official Website | ubse.uk.gov.in |
| More Details of UBSE | Uttarakhand Board |
If you have any queries on Uttarakhand Board Class 10th Syllabus 2025-26, then please ask in comments below.
To get study material, exam alerts and news, join our Whatsapp Channel.


