AHSEC HS 2nd Year Maths Model Paper 2026 contains specimen questions from the Maths syllabus. You can now download Assam Board Class 12 Maths Sample Question Paper PDF here from aglasem. By practising this AHSEC HS 2nd Year Model Paper you can get an idea of what to expect in Maths exam and score good marks in it.
AHSEC HS 2nd Year Maths Model Paper 2026
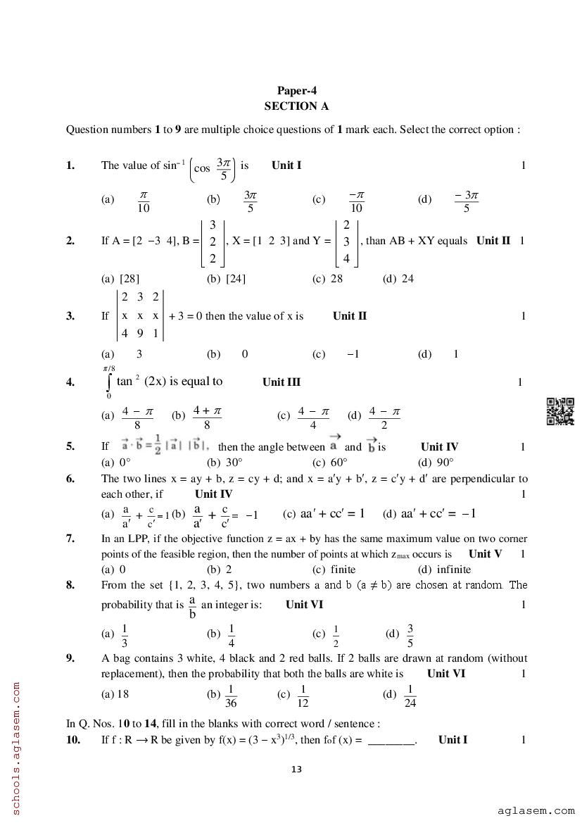
The Assam Board Sample Paper for HS 2nd Year Class 12th Maths is as follows.
AHSEC HS 2nd Year Maths Model Paper 2026 PDF Download Link – Click Here to Download Question Paper PDF
AHSEC HS 2nd Year Maths Model Paper 2026 PDF
The complete specimen question paper is as follows.
Assam Board Class 12 Sample Paper 2026 Maths View Download


































Assam Board Class 12 Sample Paper
To excel in all subjects of 12th standard, here are the model question papers of all subjects of Assam Board class 12.
- Accountancy
- Assamese
- Biology
- Business Studies
- Chemistry
- Economics
- Education
- English
- Geography
- History
- Maths
- Physics
- Political Science
Assam Board Sample Question Papers
You can also explore the model question papers of other classes of Assam Board.
Assam Board Class 12 Maths Model Paper – An Overview
The key details of this study material are as follows.
| Aspects | Details |
|---|---|
| State | Assam |
| Class | Class 12 |
| Subject | Maths |
| Study Material Here | Assam Board Model Paper of Class 12 Maths |
| More Sample Papers for This Class | Assam Board Model Paper of Class 12 |
| Board | AHSEC |
| More Sample Papers for This Board | Assam Board Model Papers |
| Further Details of This Board | Assam Board |
If you have any queries on AHSEC HS 2nd Year Maths Model Paper 2026, then please ask in comments below.
To get study material, exam alerts and news, join our Whatsapp Channel.
