Bihar Board Class 12 Maths (Science, Arts) Question Paper 2025 is available here at aglasem for download. The BSEB Inter Maths (Science, Arts) Paper PDF contains actual questions asked in past year Maths (Science, Arts) exam held for 12th class students. So by solving this Bihar Board Class 12 Question Paper, you can enhance your preparation for Maths (Science, Arts) exam. Therefore this Maths (Science, Arts) question paper is an important part of class 12 exam preparation for all Bihar Board students!
Bihar Board Class 12 Maths (Science, Arts) Question Paper 2025
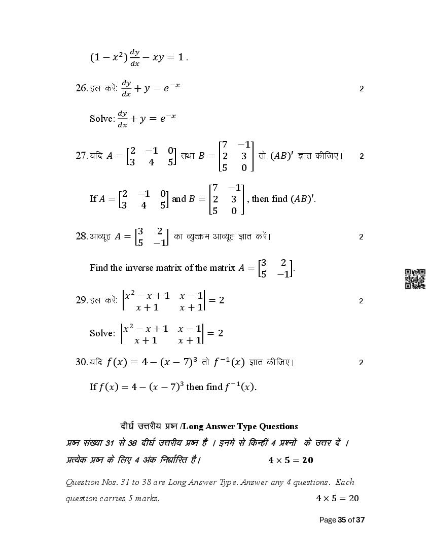
The Bihar Board Question Paper for Class 12 (Inter) Maths (Science, Arts) is as follows.
Bihar Board Class 12 Maths (Science, Arts) Question Paper 2025 PDF Download Link – Click Here to Download Question Paper PDF
Bihar Board Class 12 Maths (Science, Arts) Question Paper 2024 PDF Download Link – Click Here to Download Question Paper PDF
Bihar Board Class 12 Maths (Science, Arts) Question Paper 2023 PDF Download Link – Click Here to Download Question Paper PDF
More BSEB Class 12 Maths (Science, Arts) Question Papers PDF Download Link – Click Here to Download Old Question Paper PDFs
Bihar Board Class 12 Maths (Science, Arts) Question Paper 2025 PDF
The latest Maths (Science, Arts) previous year question paper is as follows.
Bihar Board 12th Question Paper 2025 Maths View Download







































Bihar Board Class 12 Question Papers
You have to appear in multiple subject papers in addition to Maths (Science, Arts) for class 12 exams. And to do well in all of them, you need the Inter question papers for each. So here are all the BSEB Inter Question Papers for all subjects.
- Accountancy
- Agriculture
- Arabic
- Bangla
- Bhojpuri
- Biology
- Business Studies
- Chemistry
- Computer Science
- Economics
- English
- Entrepreneurship
- Geography
- Hindi (Arts)
- Hindi (Science, Commerce)
- History
- Home Science
- Magahi
- Maithli
- Maths (Commerce)
- Maths (Science, Arts)
- Multimedia and Web Technology
- Music
- Pali
- Persian
- Philosophy
- Physics
- Physics
- Political Science
- Prakrit
- Psychology
- Sanskrit
- Sociology
- Urdu
- Yoga and Physical Education
Bihar Board Question Papers
Similarly you can download the previous year question papers of all classes of Bihar Board from here on aglasem.
- Bihar Board Class 9 First Terminal Exam Question Papers
- Bihar Board Class 10 First Terminal Exam Question Papers
- Bihar Board Class 10 Previous Year Question Papers
- Bihar Board Class 11 Previous Year Question Papers
- Bihar Board Class 12 Previous Year Question Papers
Bihar Board Class 12 Maths (Science, Arts) Question Paper – An Overview
The key highlights of this question paper are as follows.
| Aspects | Details |
|---|---|
| State | Bihar |
| Class | Class 12 (Inter) |
| Subject | Maths (Science, Arts) |
| Study Material Here | Bihar Board Question Paper of Class 12 Maths (Science, Arts) |
| More Question Papers of This Class | Bihar Board Question Paper of Class 12 |
| All Question Papers of This Board | Bihar Board Previous Year Question Papers |
| All Study Material Of This Board | Bihar Board |
| Education Board | BSEB |
| BSEB Full Form | Bihar School Examination Board |
| Exam Dates | Bihar Board Class 12th Exam Date |
| Admit Cards | Bihar Board 12th Admit Card |
| Exam Results | Bihar Board 12th Result |
| Sample Papers | Bihar Board 12th Model Paper |
| Syllabus | Bihar Board Class 12 Syllabus |
If you have any queries on Bihar Board Class 12 Maths (Science, Arts) Question Paper 2025, then please ask in comments below.
To get study material, exam alerts and news, join our Whatsapp Channel.

