HP Board Class 11th Syllabus 2025 is released by HPBOSE. If you are studying in HPBOSE board, then you can download the HPBOSE Syllabus for Class 11 PDF from here on aglasem to know what to study. This Himachal Pradesh board syllabus indicates subject-wise topics and chapters recommended by Himachal Pradesh Board Of School Education for class 11 students. Therefore study all chapters as per Himachal Pradesh class 11 syllabus to complete your curriculum of all subjects and excel in exams.
HP Board Class 11th Syllabus 2025
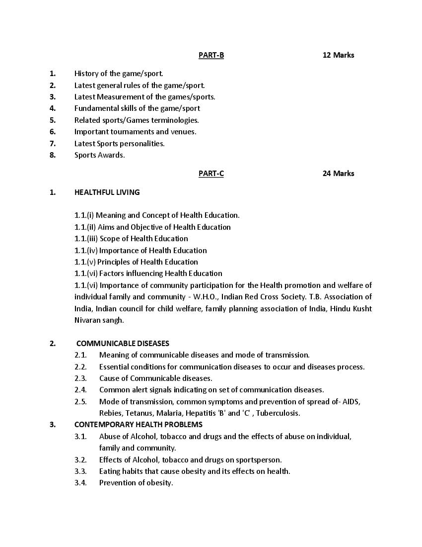
The HPBOSE Syllabus for Class 11 is the list of subjects, and their topics included by Himachal Pradesh Board Of School Education (HPBOSE) for class 11 course of study. The HP Board Class 11th Syllabus is as follows. However keep checking hpbose.org for any changes in curriculum of Himachal Pradesh board.
HPBOSE 11th Class Syllabus 2025 – Download PDF of Syllabus 2025
HP Board Class 11th Syllabus 2025 PDF
Syllabus for academic session 2025 is given below.
HP Board Class 11 Syllabus 2025 View Download






























































Also note that HPBOSE sometimes does not publish class 11 syllabus for a particular year. In this case, the old Himachal Pradesh board syllabus for class 11 remains valid. However if Himachal Pradesh Board Of School Education publishes class 11 revised syllabus in any year, then in that session, the new HP Board Class 11th Syllabus is used.
Himachal Pradesh Board Syllabus
Whereas you can easily download HPBOSE Syllabus for Class 11 here on this page. You may bee looking for other class curriculum for Himachal Pradesh. Therefore we have provided Himachal Pradesh board syllabus for all classes here as follows.
- HP Board Class 9th Syllabus
- HP Board Class 10th Syllabus
- HP Board Class 11th Syllabus
- HP Board Class 12th Syllabus
HP Board Class 11th Syllabus 2025 – An Overview
The key highlights of the curriculum are as follows.
| Aspects | Details |
|---|---|
| Name of Education Board | HPBOSE |
| Class | Class 11 |
| Study Material Here for This Board and Class | Syllabus |
| State | Himachal Pradesh |
| All Syllabus of HPBOSE | Himachal Pradesh Board Syllabus |
| Official Website | hpbose.org |
| More Details of HPBOSE | Himachal Pradesh Board |
If you have any queries on HP Board Class 11th Syllabus 2025, then please ask in comments below.
To get study material, exam alerts and news, join our Whatsapp Channel.

