Karnataka 1st PUC Biology Mid Term Question Paper 2025 is now available here at aglasem. Now one can download 1st PUC mid term exam Biology question paper PDF from here on aglasem. The Karnataka 1st PUC Mid Term Question Paper of Biology has those questions which were asked by Pre-University Course college from class 11 Biology syllabus in the mid term exams. Along with Biology model paper, this Biology question paper is a valuable resource to prepare for the test.
Karnataka 1st PUC Biology Mid Term Question Paper 2025
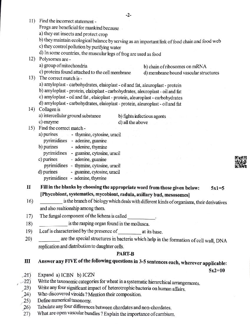
The Karnataka Board Question Paper for Biology mid term exam is as follows.
Karnataka 1st PUC Biology Mid Term Question Paper 2025 PDF Download Link – Click Here to Download Question Paper PDF
Karnataka 1st PUC Biology Mid Term Question Paper 2024 PDF Download Link – Click Here to Download Question Paper PDF
Karnataka 1st PUC Biology Mid Term Question Paper 2022 PDF Download Link – Click Here to Download Question Paper PDF
Karnataka 1st PUC Biology Mid Term Question Paper 2025 PDF
The latest available complete Biology mid term exam question paper is as follows.
Karnataka 1st PUC Mid Term Question Paper 2025 Biology View Download





Karnataka 1st PUC Mid Term Question Papers
You must be appearing in more mid term exams in addition to Biology. So here are all class 11 mid term question papers.
- Accountancy
- Biology
- Business Studies
- Chemistry
- Computer Science
- Economics
- English
- Geography
- Hindi
- History
- Kannada
- Maths
- Physics
- Political Science
- Sanskrit
- Sociology
Karnataka Board Previous Year Question Papers
There are past year papers for different classes and exams of Karnataka Board, as follows.
- Karnataka Board SSLC Question Papers
- Karnataka SSLC Preparatory Exam Question Paper
- Karnataka Board 1st PUC Previous Year Question Papers
- Karnataka Board 2nd PUC Previous Year Question Papers
Mid Term Question Papers
- Karnataka 9th Class Mid Term Question Paper
- Karnataka SSLC Mid Term Question Paper
- Karnataka 1st PUC Mid Term Question Paper
- Karnataka 2nd PUC Mid Term Question Paper
Karnataka 1st PUC Mid Term Biology Question Paper – An Overview
Some highlights of this important educational material are as follows.
| Aspects | Details |
|---|---|
| State | Karnataka |
| Class | Class 11th |
| Subject | Biology |
| Exam | Mid Term Exams |
| Material | Karnataka 1st PUC Mid Term Exam Question Paper of Biology |
| More Mid Term Papers | Karnataka 1st PUC Mid Term Exam Question Paper |
| All Karnataka Board Papers | Karnataka Board Question Papers |
| Board Study Material | Karnataka Board |
If you have any queries on Karnataka 1st PUC Biology Mid Term Question Paper 2025, then please ask in comments below.
To get study material, exam alerts and news, join our Whatsapp Channel.

