Karnataka 2nd PUC Quarterly Exam Maths Question Paper 2026 becomes accessible after the exam. You can now obtain the 2nd PUC Quarterly exam Maths question paper PDF from aglasem. The Karnataka 2nd PUC Quarterly Question Paper for Maths contains questions asked by Pre-University Course colleges from the class 12 Maths syllabus in the Quarterly exams. This Maths question paper, in addition to the model paper, serves as a valuable resource for test preparation.
Karnataka 2nd PUC Quarterly Exam Maths Question Paper 2026
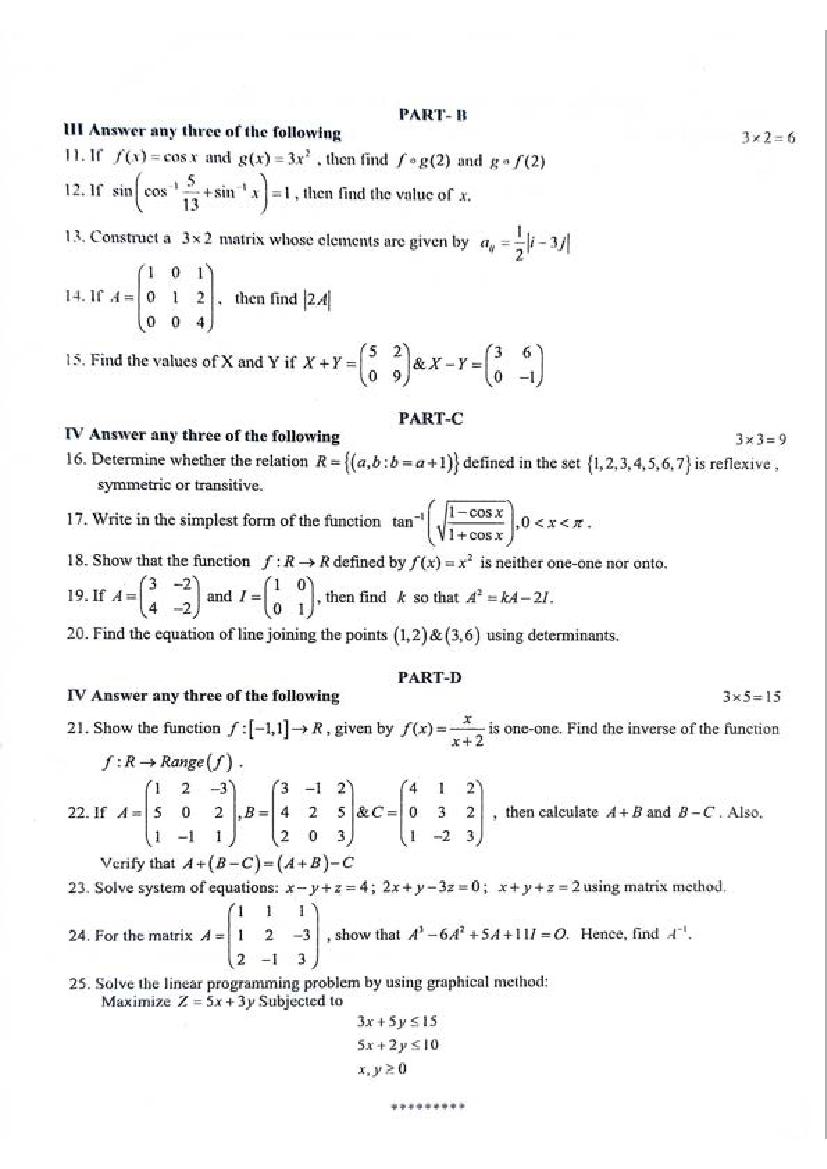
The Karnataka Board Question Paper for Maths Quarterly exam is as follows.
Karnataka 2nd PUC Quarterly Exam Maths Question Paper 2026 PDF Download Link – Link to Download Question Paper PDF will be updated here after the exam
Karnataka 2nd PUC Quarterly Exam Maths Question Paper 2025 PDF Download Link – Click Here to Download Question Paper PDF
Karnataka 2nd PUC Quarterly Exam Maths Question Paper 2024 PDF Download Link – Click Here to Download Question Paper PDF
Karnataka 2nd PUC Maths Quarterly Question Paper 2026 PDF
The latest available complete Maths Quarterly exam question paper is as follows.
Karnataka 2nd PUC Quarterly Exam Question Paper 2025 Mathematic View Download



Karnataka 2nd PUC Quarterly Question Papers
You must be appearing in more Quarterly exams in addition to Maths. So here are all class 12 Quarterly question papers.
Karnataka Board Previous Year Question Papers
There are past year papers for different classes and exams of Karnataka Board, as follows.
Mid Term Question Papers
- Karnataka SSLC Mid Term Question Paper
- Karnataka 1st PUC Mid Term Question Paper
- Karnataka 2nd PUC Mid Term Question Paper
Quarterly Exam Question Papers
Annual Exam Question Papers
- Karnataka Board SSLC Question Papers
- Karnataka SSLC Preparatory Exam Question Paper
- Karnataka Board 1st PUC Previous Year Question Papers
- Karnataka Board 2nd PUC Previous Year Question Papers
Karnataka 2nd PUC Quarterly Maths Question Paper – An Overview
Some highlights of this important educational material are as follows.
| Aspects | Details |
|---|---|
| State | Karnataka |
| Class | Class 12th |
| Subject | Maths |
| Exam | Quarterly Exams |
| Material | Karnataka 2nd PUC Quarterly Exam Question Paper of Maths |
| More Quarterly Papers | Karnataka 2nd PUC Quarterly Exam Question Paper |
| All Karnataka Board Papers | Karnataka Board Question Papers |
| Board Study Material | Karnataka Board |
If you have any queries on Karnataka 2nd PUC Maths Quarterly Question Paper 2026, then please ask in comments below.
To get study material, exam alerts and news, join our Whatsapp Channel.
