Karnataka SSLC Political Science Model Question Paper 2026 has been released by KSEEB. If you are a Class 10th student, you can download the Karnataka Board SSLC Model Question Paper for Political Science PDF from Aglasem to prepare for your exams. Additionally, the Political Science Model Question Paper is available in both English and Kannada medium. This Class 10 sample paper contains specimen questions for the Political Science subject as per the latest Political Science syllabus issued by the Karnataka School Examination and Assessment Board. By practicing with this Karnataka SSLC Model Question Paper, you can aim for full marks in the Political Science subject in the Karnataka Board exams.
Karnataka SSLC Political Science Model Question Paper 2026
The Karnataka Board SSLC Model Paper for Political Science in English and Kannada languages as follows. KSEEB publishes Karnataka Board model papers to help students do better in their exams.
Karnataka SSLC Political Science Model Question Paper 2026 Download Link – Click Here to Download PDF with Answers
Karnataka SSLC Political Science Model Question Paper 2025 Download Link – Click Here to Download PDF
Karnataka SSLC Political Science Model Question Paper 2024 Download Link – Click Here to Download PDF
You can download more Karnataka Board class 10 sample papers here – Karnataka Board Class 10 Study Material.
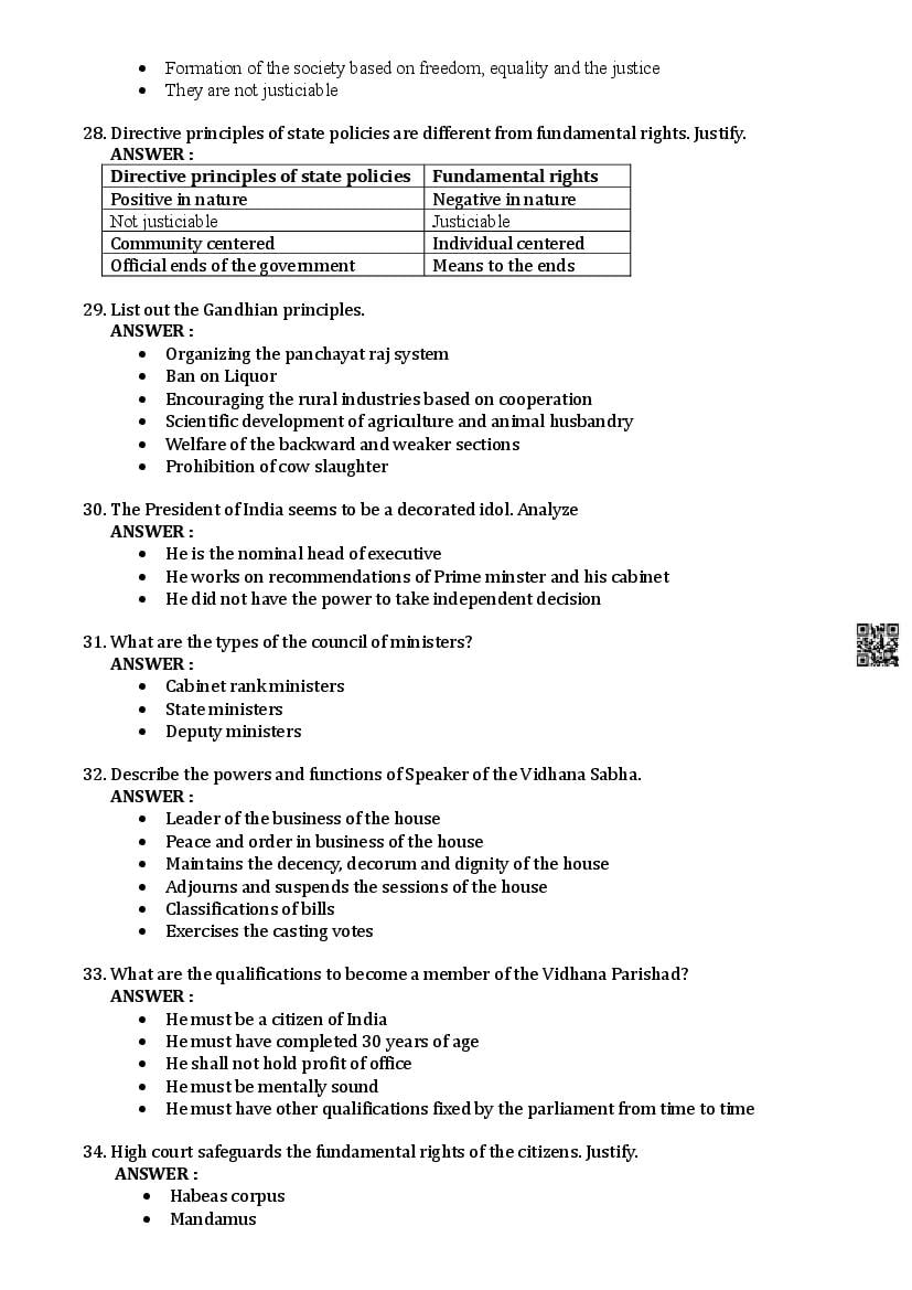
Karnataka SSLC Political Science Model Question Paper 2026 PDF
The portable document format of this question paper is as follows.
Karnataka SSLC Model Question Paper 2026 Political Science View Download






















Karnataka Board KSEEB Class 10th Model Paper for Political Science – An Overview
Key highlights of the sample question paper are as follows.
| Name of State | Karnataka |
| Name of Education Board | Karnataka Board |
| Education Board for Class 10 | KSEEB |
| Full form of KSEEB | Karnataka School Examination and Assessment Board |
| Class | SSLC / Class 10 / 10th / X |
| Subject | Political Science |
| All Karnataka Board Class 10 Sample Papers | Karnataka SSLC Model Papers |
| Official Website | sslc.karnataka.gov.in |
| All Karnataka Board Sample Question Papers | Karnataka Board Model Question Papers |
| Class 10 Time Table | Karnataka SSLC Time Table |
| Class 10 Results | Karnataka SSLC Result |
Karnataka SSLC Model Papers
KSEEB has published Karnataka SSLC Model Question Papers for all subjects, as follows.
- Apparels Made Ups & Home Furnishing
- Arabic
- Automobile
- Beauty & Wellness
- Economics
- Electronics & Hardware
- Elements of Electrical Engineering
- Elements of Mechanical Engineering
- English First Language
- English Second Language
- English Third Language
- Hindi First Language
- Hindi Third Language
- Information Technology
- Kannada First Language
- Kannada Second Language
- Kannada Third Language
- Konkni
- Marathi
- Maths
- Political Science
- Programming
- Retail
- Sanskrit First Language
- Sanskrit Third Language
- Science
- Social Science
- Sociology
- Tamil
- Telugu
- Tulu
- Urdu First Language
- Urdu Third Language
Karnataka Board Model Question Papers
You can download all model papers of Karnataka board from here on aglasem.
- Karnataka Board Class 5 Model Question Paper
- Karnataka Board Class 8 Model Question Paper
- Karnataka Board Class 9 Model Question Paper
- Karnataka SSLC Preparatory Model Question Paper
- Karnataka SSLC Model Question Paper
- Karnataka 1st PUC Model Question Paper
- Karnataka 2nd PUC Model Question Paper
If you have any queries on Karnataka SSLC Political Science Model Question Paper 2026, then please ask in comments below.
To get study material, exam alerts and news, join our Whatsapp Channel.
