Kerala Class 9 Maths Question Paper 2025 is available for download here. This Kerala Class 9 question paper is for Maths. It contains the exact questions asked in class 9 Maths exam held by KBPE last year. Therefore by solving this Maths question paper, you can sharpen your preparation and aim to score full marks in class 9 Maths exam.
Kerala Class 9 Maths Question Paper 2025
The Kerala Syllabus Question Papers for class 9th Class 9 Maths is as follows.
Kerala Class 9 Maths Question Paper 2025 Download Link – Click Here to Download Question Paper PDF
Kerala Class 9 Maths Question Paper 2024 Download Link – Click Here to Download Question Paper PDF
Kerala Class 9 Maths Question Paper 2023 Download Link – Click Here to Download Question Paper PDF
Kerala Class 9 Maths Question Paper 2025 PDF
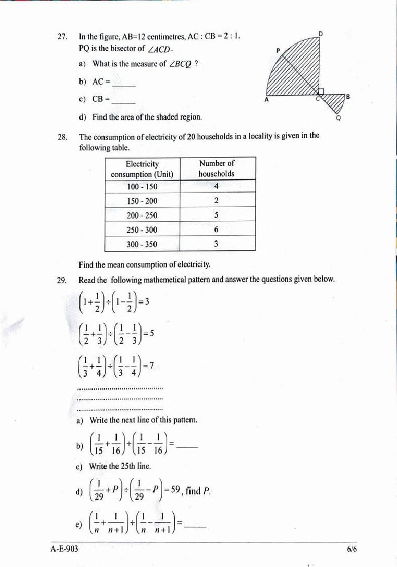
The complete question paper is as follows.
Kerala Class 9th Question Paper 2025 Maths View Download














Kerala Class 9 Previous Year Question Papers
The Kerala syllabus 9th standard question papers for all subjects are as follows.
- Arabic
- Biology
- English
- Hindi
- Malayalam I
- Malayalam II
- Maths
- Physics
- Sanskrit
- Science
- Social Science
- Urdu
Kerala Board Exams Previous Year Question Papers
You can also explore the Kerala Syllabus Previous Question Papers for other standards.
- Kerala Class 5 Question Papers
- Kerala Class 6 Question Papers
- Kerala Class 7 Question Papers
- Kerala Class 8 Question Papers
- Kerala Class 9 Question Papers
- Kerala SSLC Question Papers
- Kerala Plus One Question Papers
- Kerala Plus Two Question Papers
Kerala Syllabus 9th Standard Maths Solutions Guide
Apart from Maths question paper, students often search for Maths solutions. Here are some important points.
- Teachers and Maths experts publish Kerala Syllabus Class 9 9th Standard Maths Solutions Guide PDF which you can download in English and Kannada medium.
- The KSEAB Class 9 Maths Solutions contain questions and answers of all chapter-wise exercises of SCERT Kerala class 9 Maths textbook.
- Therefore you can complete the Kerala Class 9 Maths syllabus with the solutions guide and then solve Kerala Class 9 Maths model paper, previous year paper, question pool to prepare for Maths test.
Kerala Class 9 Maths Question Paper – An Overview
The important things to know about this study material are as follows.
| Aspects | Details |
|---|---|
| State | Kerala |
| Class | Class 9 / Class 9 |
| Subject | Maths |
| Exam Year | 2025 |
| Educational Resource Here | Kerala Syllabus Previous Question Papers Class 9 Maths |
| More Papers of This Class | Kerala Syllabus Previous Question Papers Class 9 |
| Education Board | KBPE (Kerala Board Of Public Examination) |
| More Papers of This Board | Kerala Syllabus Previous Question Papers |
| KBPE Class 9 Date Sheet | Kerala Class 9 Time Table |
| KBPE Class 9 Result | Kerala Class 9 Results |
| Kerala Syllabus Sample Papers | Kerala Board Class 9 Model Question Papers |
If you have any queries on Kerala Class 9 Maths Question Paper, then please ask in comments below.
To get study material, exam alerts and news, join our Whatsapp Channel.
